Cập nhật lần cuối :
27/04/2026
Thuốc chống động kinh   Eslicarbazepine acetate  
Dung dịch uống
Tính ổn định của các chế phẩm Độ ổn định khi trộn lẫn Những yếu tố ảnh hưởng đến độ ổn định Khả năng tương thích Tài liệu tham khảo Pdf
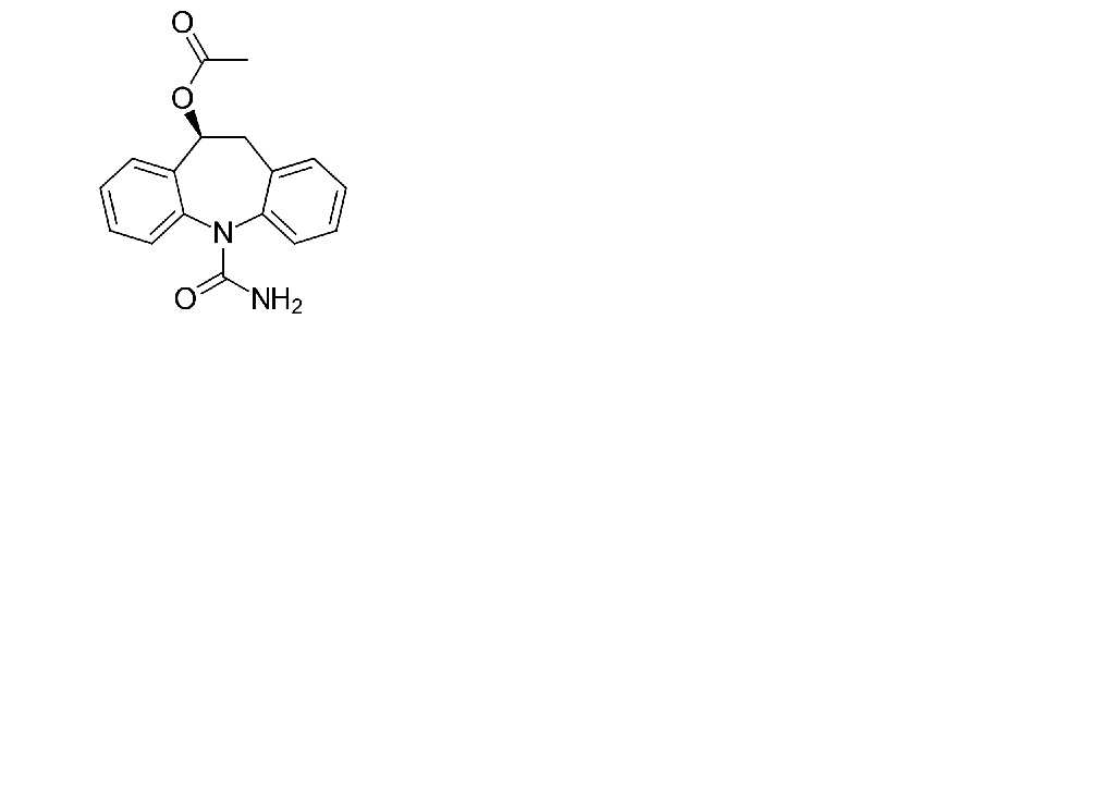
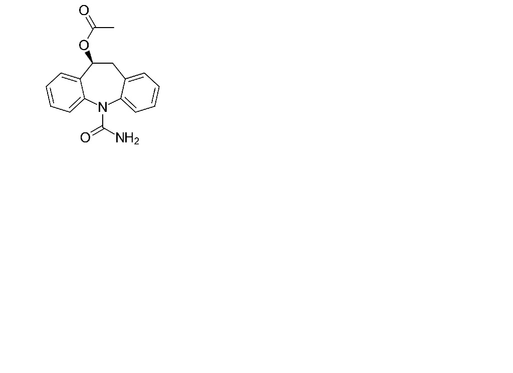
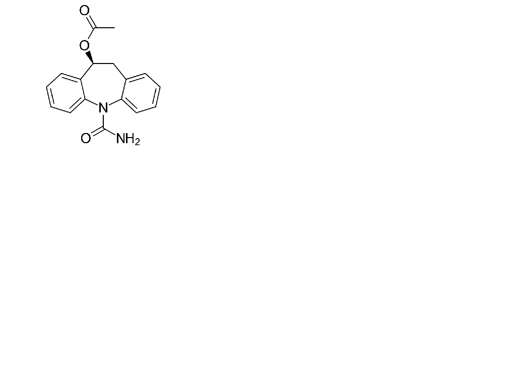
   Cấu trúc hóa học  

Dung dịch uống
Khả năng tương thích   Dung dịch uống   Khả năng tương thích : Eslicarbazepine acetate              
Không có dữ liệu

  Mentions Légales