Pēdējā atjaunošana :
27/04/2026
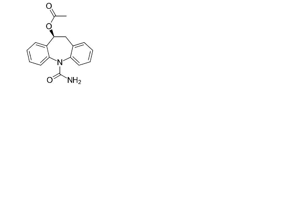
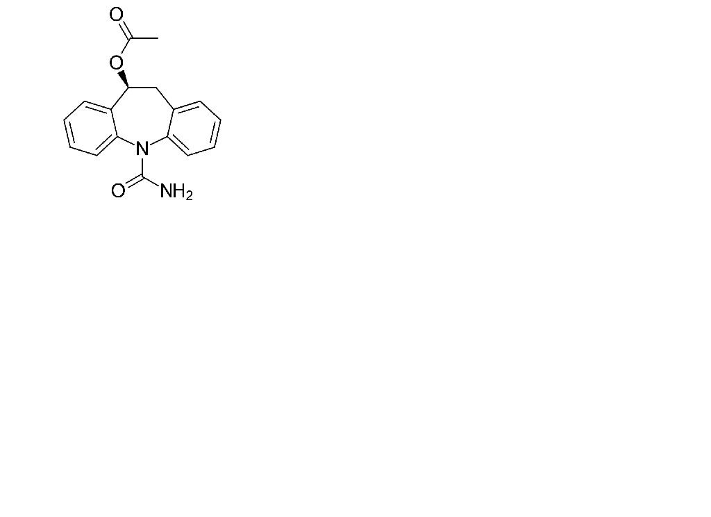
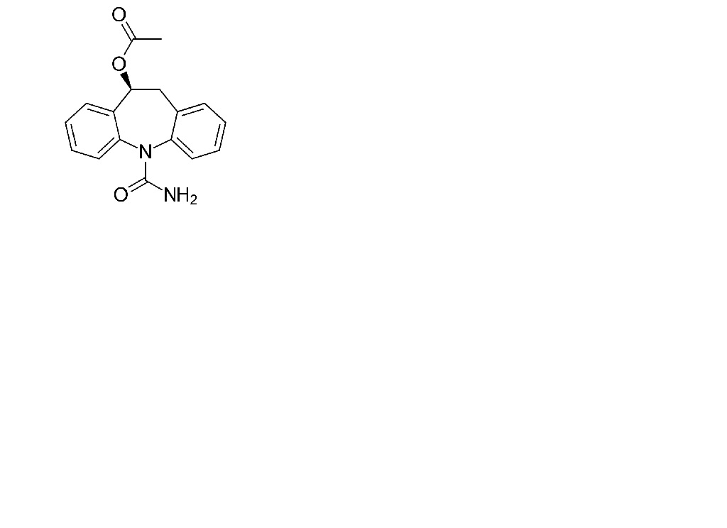
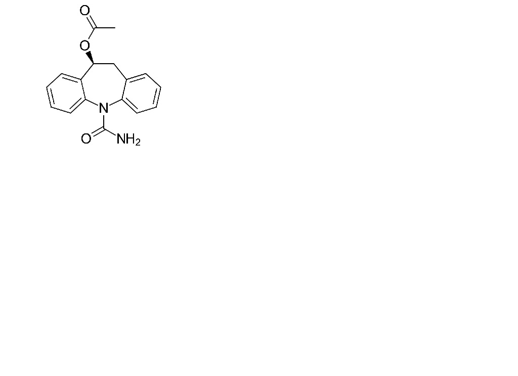
Antiepileptiķis   Eslicarbazepine acetate  
Orāls šķīdums
Stabilitāte farmaceitisko preparātu Maisījuma stabilitāte Stabilitāti ietekmējoši faktori Saderība Literatūras saraksts pdf
   Ķīmiskā uzbūve   

Orāls šķīdums
Saderība   Orāls šķīdums   Saderība : Eslicarbazepine acetate              
Nav datu

  Mentions Légales