Utolsó frissítés :
27/01/2026
Antiepileptikum   Eslicarbazepine acetate  
belsőleges oldat
Stabilitása gyógyszerészeti készítmények A keverékek stabilitása Stabilitást befolyásoló tényezők Kompatibilitás Irodalom pdf
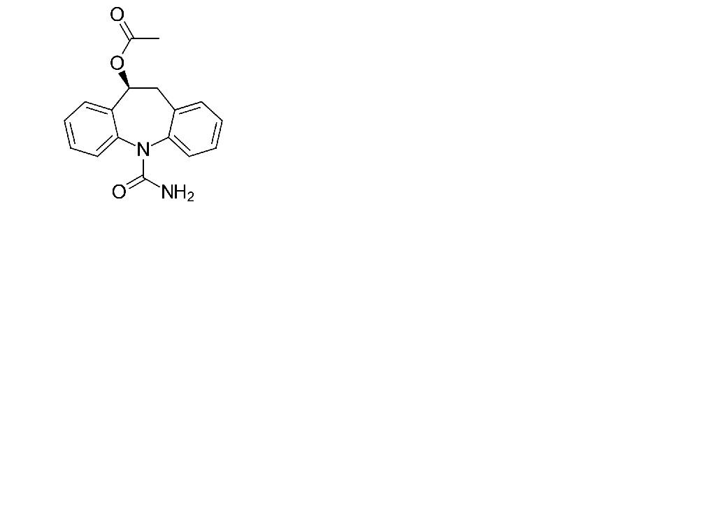
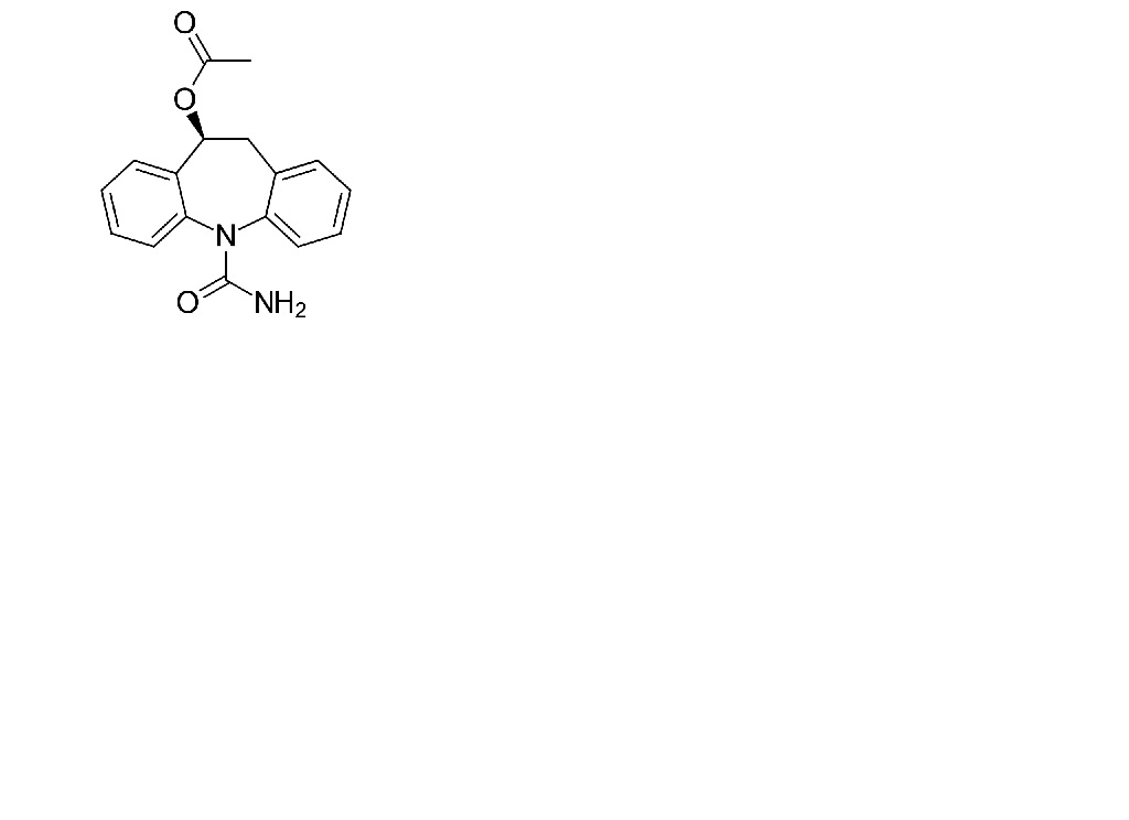
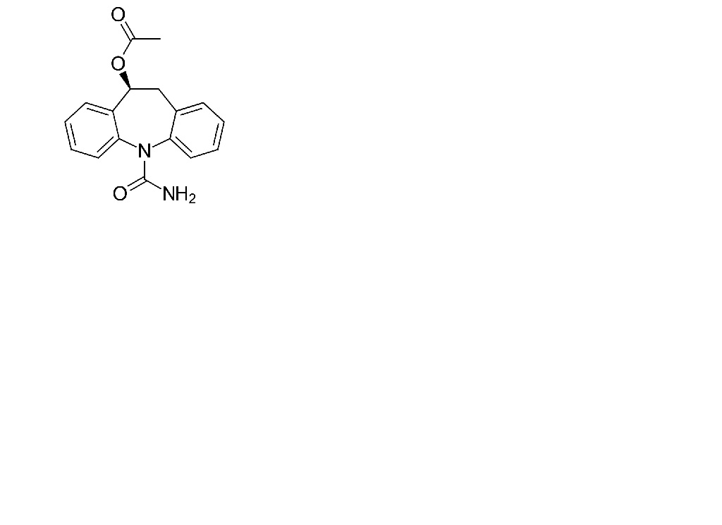
   Kémiai szerkezet   

belsőleges oldat
Kompatibilitás   belsőleges oldat   Kompatibilitás : Eslicarbazepine acetate              
Hiányzó adat

  Mentions Légales