Laatste update :
27/04/2026
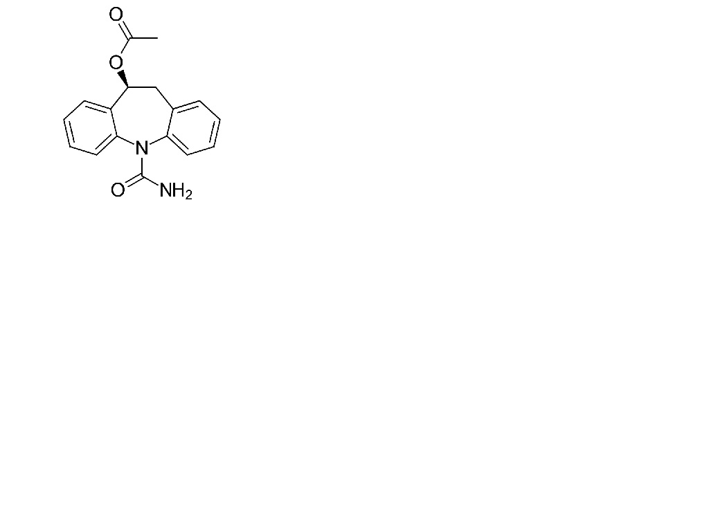
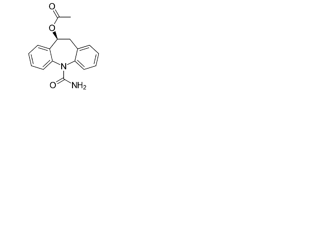
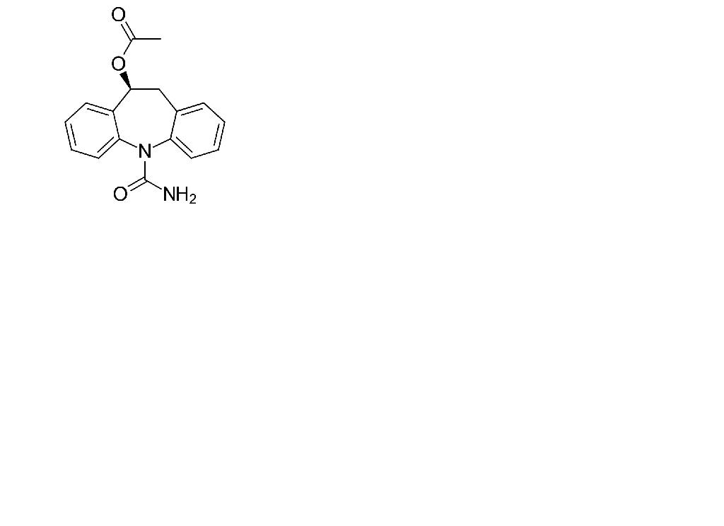
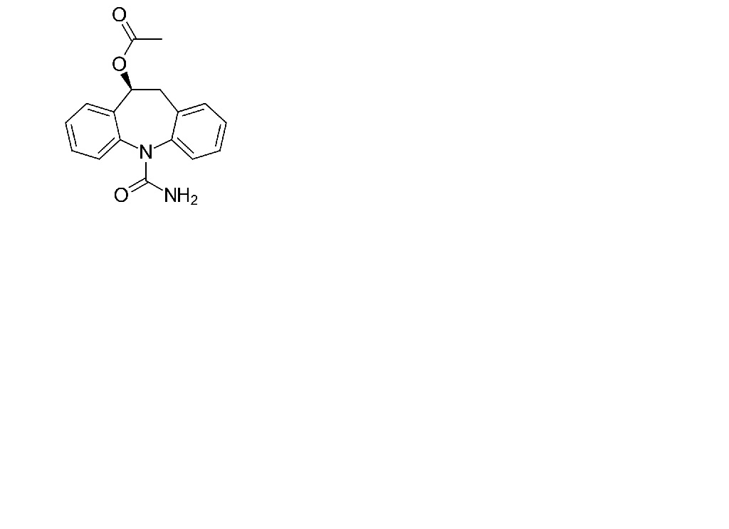
Anti-epilepticum   Eslicarbazepine acetate  
Orale Oplossing
Stabiliteit van farmaceutische preparaten Stabiliteit in mengsels Factoren die de stabiliteit beïnvloeden Verenigbaarheden Literatuur pdf
   Molecuulstructuur  

Orale Oplossing
Verenigbaarheden   Orale Oplossing   Verenigbaarheden : Eslicarbazepine acetate              
geen gegevens

  Mentions Légales