Senaste uppdateringen :
27/04/2026
Antiepileptikum   Eslicarbazepine acetate  
Oral lösning
Stabilitet av läkemedel Stabilitet i blandningar Faktorer som påverkar stabiliteten Kompatibilitet Hänvisningar pdf
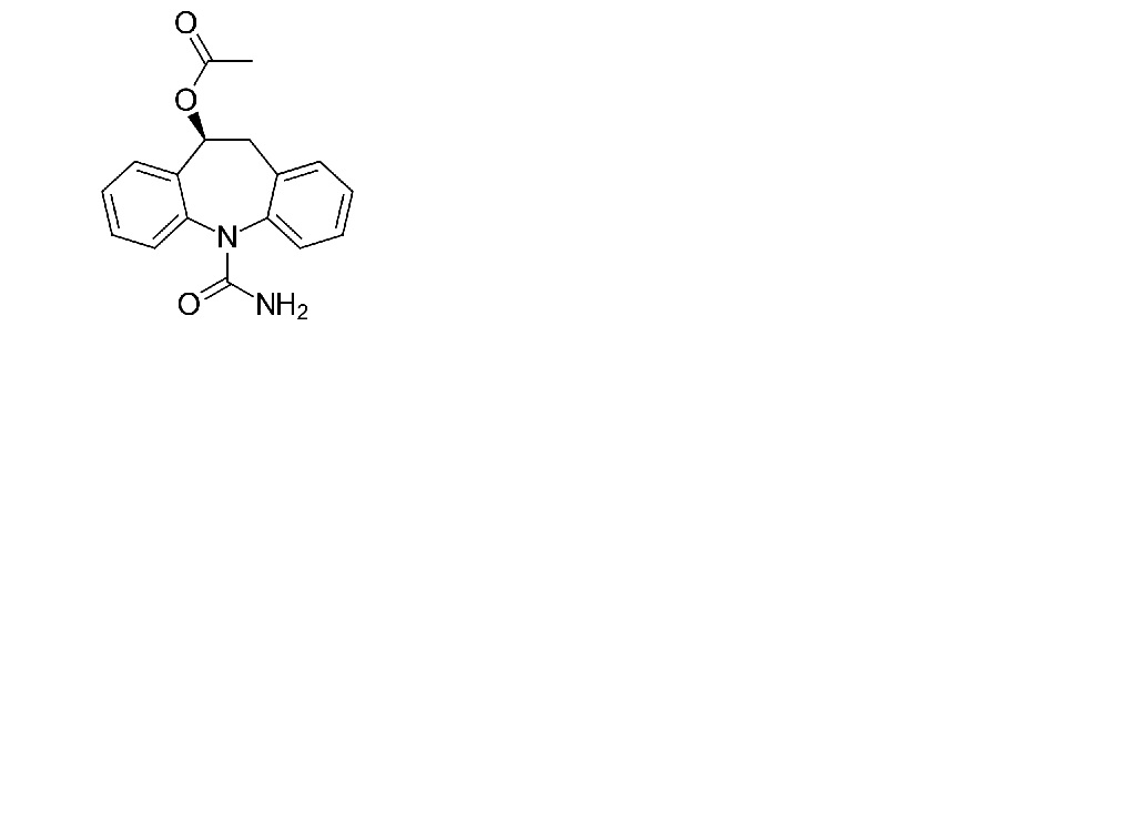
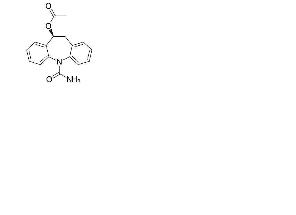
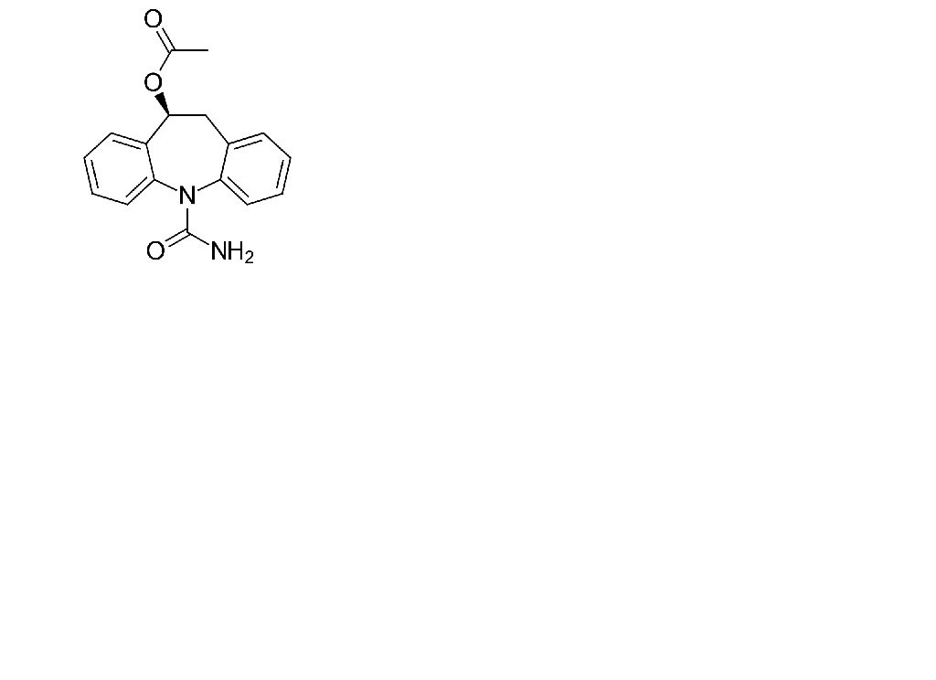
   Molekylstruktur  

Oral lösning
Kompatibilitet   Oral lösning   Kompatibilitet : Eslicarbazepine acetate              
Ingen uppgift

  Mentions Légales