viimane versioon :
27/04/2026
antiepileptikum   Eslicarbazepine acetate  
suukaudne lahus
Stabiilsust ravimpreparaadid Stabiilsust mõjutavad tegurid stabiilsust mõjutavad faktorid Sobimatus Viited pdf
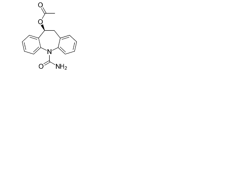
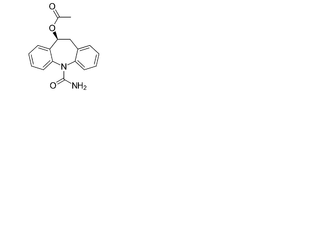
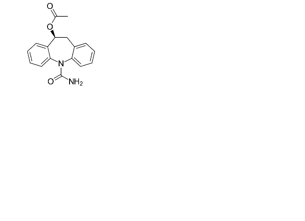
   keemiline struktuur  

suukaudne lahus
Sobimatus   suukaudne lahus   Sobimatus : Eslicarbazepine acetate              
andmed puuduvad

  Mentions Légales