Seneste opdatering :
27/04/2026
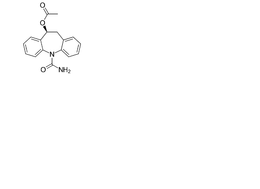
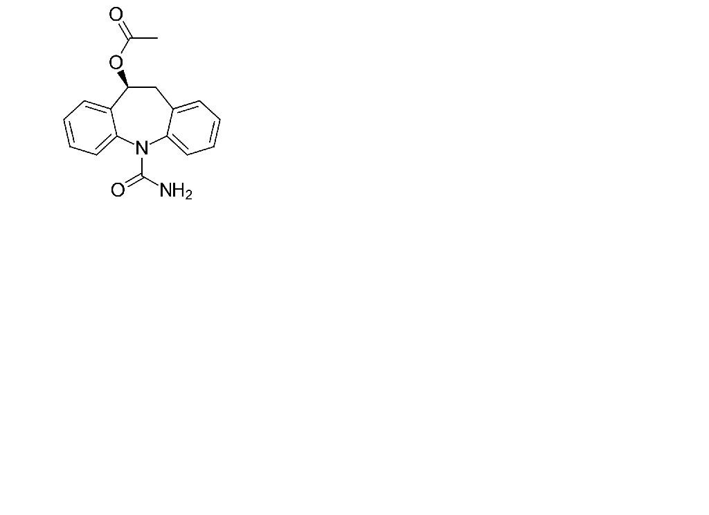
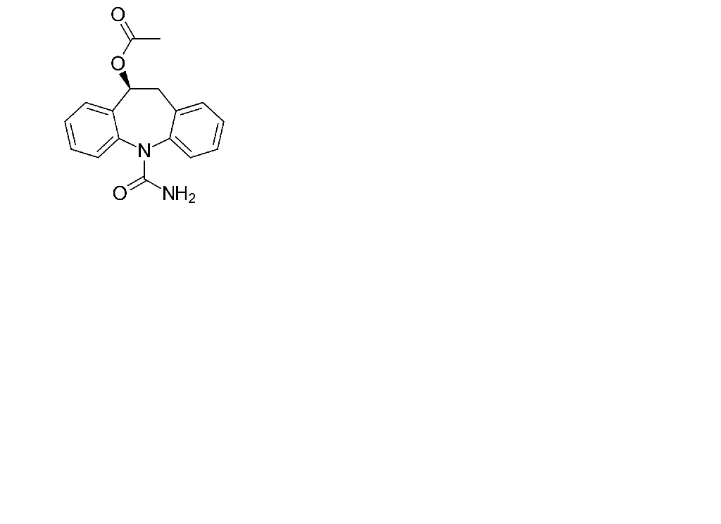
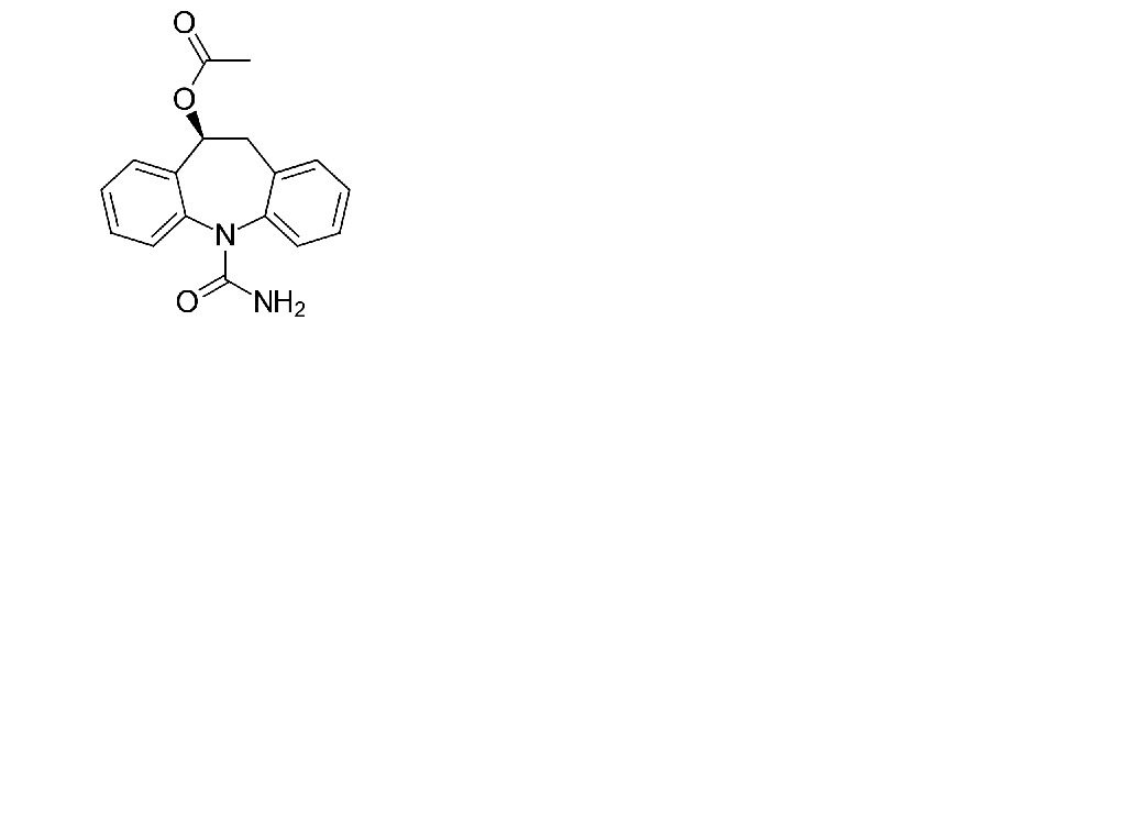
Antiepileptisk   Eslicarbazepine acetate  
Oral opløsning
Stabilitet af farmaceutiske tilberedninger Stabilitet i blandinger Faktorer der påvirker stabiliteten Kompatibilitet Bibliografi pdf
   Kemisk struktur  

Oral opløsning
Kompatibilitet   Oral opløsning   Kompatibilitet : Eslicarbazepine acetate              
Ingen data

  Mentions Légales