Viimeisin päivitys :
27/04/2026
Epilepsialääkkeet   Eslicarbazepine acetate  
Oraaliliuos
Vakaus lääkevalmisteen Stabilius seoksissa Tekijät, jotka vaikuttavat stabiliuteen Yhteensopivuus Viitteet pdf
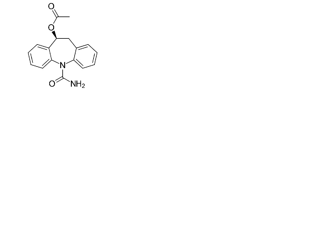
   Kemiallinen rakenne  

Oraaliliuos
Yhteensopivuus   Oraaliliuos   Yhteensopivuus : Eslicarbazepine acetate              
ei tietoa

  Mentions Légales