Ultimo aggiornamento :
27/04/2026
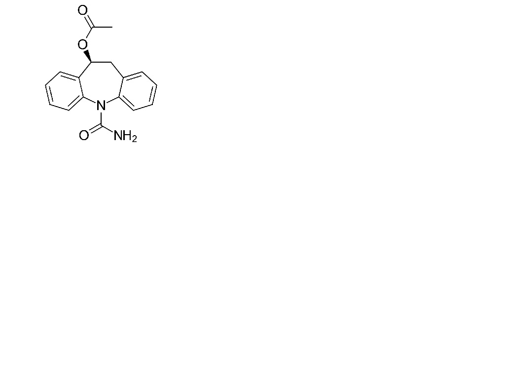
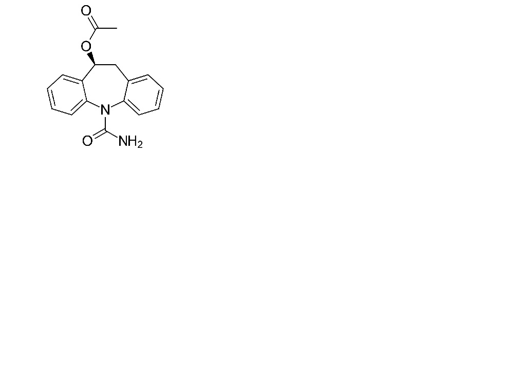
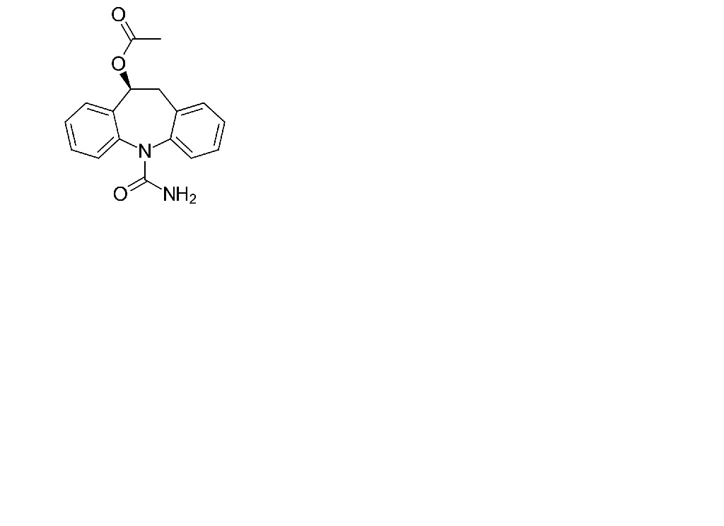
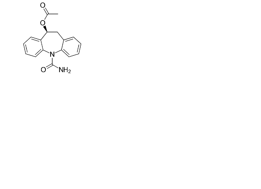
Antiepilettico   Eslicarbazepine acetate  
Soluzione orale
Stabilità dei preparati farmaceutici Stabilità in miscela Fattori che influenzano la stabilità Compatibilità Bibliografia pdf
   Struttura chimica  

Soluzione orale
Compatibilità   Soluzione orale   Compatibilità : Eslicarbazepine acetate              
Assenza di dati

  Mentions Légales