Son güncelleme :
27/04/2026
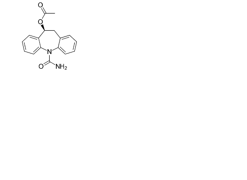
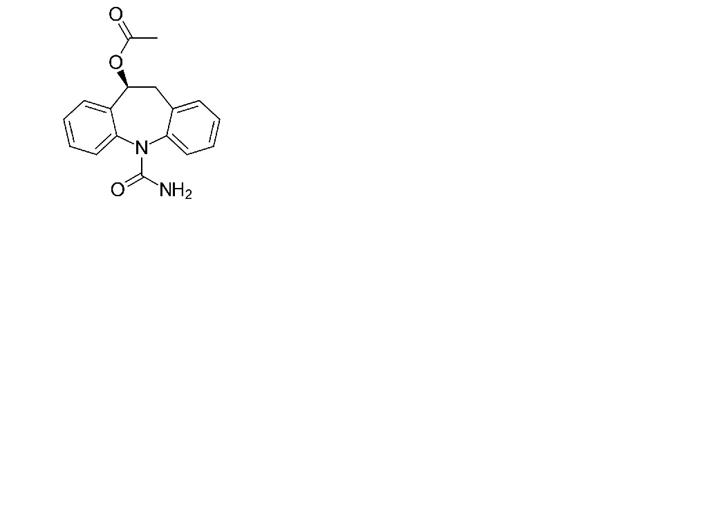
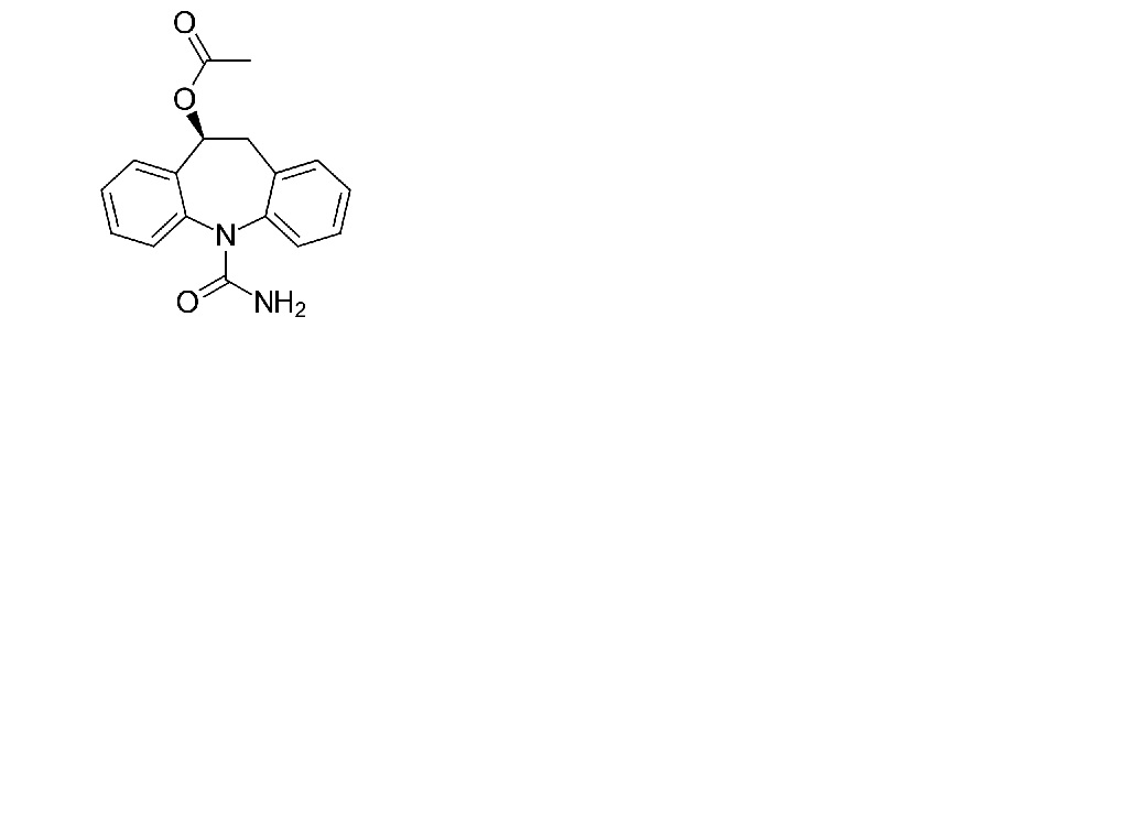
Antiepileptik   Eslicarbazepine acetate  
Oral solüsyon / oral çözelti
Farmasötik preparatlar Kararlılığı Karışımlardaki stabilitesi Stabiliteyi etkileyen faktörler Uyumluluk Kaynaklar pdf
   Kimyasal yapı   

Oral solüsyon / oral çözelti
Uyumluluk   Oral solüsyon / oral çözelti   Uyumluluk : Eslicarbazepine acetate              
veri yok

  Mentions Légales