Son güncelleme :
27/04/2026
Antiepileptik   Topiramate  
Oral solüsyon / oral çözelti
Farmasötik preparatlar Kararlılığı Karışımlardaki stabilitesi Stabiliteyi etkileyen faktörler Uyumluluk Kaynaklar pdf
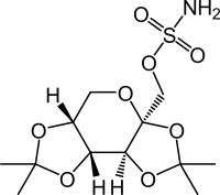
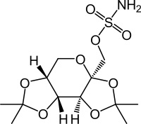
   Kimyasal yapı   

Oral solüsyon / oral çözelti
Farmasötik preparatlar Kararlılığı   Oral solüsyon / oral çözelti   Farmasötik preparatlar Kararlılığı : Topiramate     
Saklama kabı Origine yardımcı madde Isı Saklama    Stabilite süresi Kaynaklar
Plastik şişe Toz 750 mg
® = ?
SyrSpend SF PH4® >> 150 mL
2-8°C Işıktan koruyunuz
90 Gün
3999

Plastik şişe Toz 750 mg
® = ?
SyrSpend SF PH4® >> 150 mL
20-25°C Işıktan koruyunuz
90 Gün
3999


  Mentions Légales