Последнее обновление :
18/03/2026
Противоэпилептическое средство   Topiramate  
Раствор для перорального приёма
Стабильность фармацевтических препаратов Стабильность смесей Факторы, которые влияют на стабильность Совместимость Библиография pdf
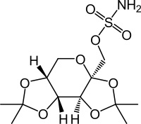
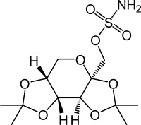
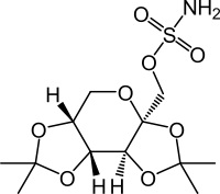
   Химическая структура  

Раствор для перорального приёма
Стабильность фармацевтических препаратов   Раствор для перорального приёма   Стабильность фармацевтических препаратов : Topiramate     
Упаковка Origine Наполнитель Температура Хранение Продолжительность стабильности Ссылки
Пластиковая бутылка Порошок 750 mg
® = ?
SyrSpend SF PH4® >> 150 mL
2-8°C Защищён от света
90 День
3999

Пластиковая бутылка Порошок 750 mg
® = ?
SyrSpend SF PH4® >> 150 mL
20-25°C Защищён от света
90 День
3999


  Mentions Légales