Последно актуализиране :
27/01/2026
Антиепилептик   Topiramate  
Орален разтвор
Стабилност на лекарствени препарати Стабилност на смеси Фактори, повлияващи стабилността Съвместимост Библиография Pdf
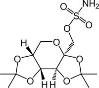
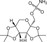
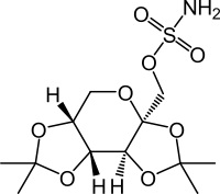
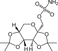
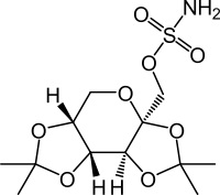
   Химична структура  

Орален разтвор
Стабилност на лекарствени препарати   Орален разтвор   Стабилност на лекарствени препарати : Topiramate     
Контейнер Origine Помощно вещество Температура Съхранение Продължителност на стабилността Библиография
Пластмасова бутилка Прах 750 mg
® = ?
SyrSpend SF PH4® >> 150 mL
2-8°C Защита от светлина
90 Ден
3999

Пластмасова бутилка Прах 750 mg
® = ?
SyrSpend SF PH4® >> 150 mL
20-25°C Защита от светлина
90 Ден
3999


  Mentions Légales