Senaste uppdateringen :
27/01/2026
Antiepileptikum   Topiramate  
Oral lösning
Stabilitet av läkemedel Stabilitet i blandningar Faktorer som påverkar stabiliteten Kompatibilitet Hänvisningar pdf
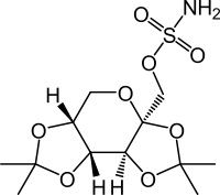
   Molekylstruktur  

Oral lösning
Stabilitet av läkemedel   Oral lösning   Stabilitet av läkemedel : Topiramate     
Behållare Origine Hjälpämne Temperatur Förvaring Stabilitets varaktighet Hänvisningar
Plastflaska Pulver 750 mg
® = ?
SyrSpend SF PH4® >> 150 mL
2-8°C Skyddas från ljus
90 Dag
3999

Plastflaska Pulver 750 mg
® = ?
SyrSpend SF PH4® >> 150 mL
20-25°C Skyddas från ljus
90 Dag
3999


  Mentions Légales