Seneste opdatering :
27/04/2026
Antiepileptisk   Topiramate  
Oral opløsning
Stabilitet af farmaceutiske tilberedninger Stabilitet i blandinger Faktorer der påvirker stabiliteten Kompatibilitet Bibliografi pdf
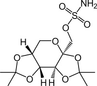
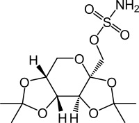
   Kemisk struktur  

Oral opløsning
Stabilitet af farmaceutiske tilberedninger   Oral opløsning   Stabilitet af farmaceutiske tilberedninger : Topiramate     
Beholder Origine Hjælpestof Temperatur Konservering Varighed af stabilitet Bibliografi
Plastflaske Pulver 750 mg
® = ?
SyrSpend SF PH4® >> 150 mL
2-8°C Beskyt mod lys
90 Dag
3999

Plastflaske Pulver 750 mg
® = ?
SyrSpend SF PH4® >> 150 mL
20-25°C Beskyt mod lys
90 Dag
3999


  Mentions Légales