Letztes “update” :
27/01/2026
Antiepileptikum   Topiramate  
Lösung zum Einnehmen
Stabilität von pharmazeutischen Präparaten Gemengestabilität Stabilitätbeeinflussende Faktoren Kompatibilitäten Literaturverzeichnis pdf
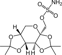
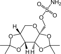
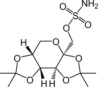
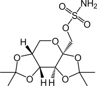
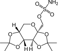
   Chemische Struktur  

Lösung zum Einnehmen
Stabilität von pharmazeutischen Präparaten   Lösung zum Einnehmen   Stabilität von pharmazeutischen Präparaten : Topiramate     
Behälter Origine Hilfsstoff Temperatur Konservierung Dauer der Stabilität Literaturverzeichnis
Plastikflasche Pulver 750 mg
® = ?
SyrSpend SF PH4® >> 150 mL
2-8°C Ohne Licht
90 Tag
3999

Plastikflasche Pulver 750 mg
® = ?
SyrSpend SF PH4® >> 150 mL
20-25°C Ohne Licht
90 Tag
3999


  Mentions Légales