Posledná aktualizácia :
27/01/2026
antiepileptikum   Topiramate  
Perorálny roztok
Stabilita farmaceutických prípravkov Stabilita v zmesiach Faktory ovplyvňujúce stabilitu Kompatibility Odkazy na literatúru PDF
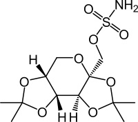
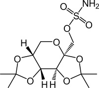
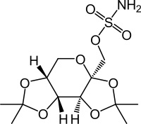
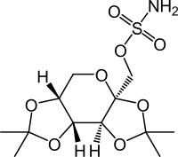
   Chemický vzorec  

Perorálny roztok
Stabilita farmaceutických prípravkov   Perorálny roztok   Stabilita farmaceutických prípravkov : Topiramate     
obal Pôvod Pomocná látka teplota uchovávanie Trvanie stability odkazy na lieteratúru
Plastová fľaša Prášok 750 mg
® = ?
SyrSpend SF PH4® >> 150 mL
2-8°C Chránené pred svetlom
90 dní
3999

Plastová fľaša Prášok 750 mg
® = ?
SyrSpend SF PH4® >> 150 mL
20-25°C Chránené pred svetlom
90 dní
3999


  Mentions Légales