Ultimele actualizari :
27/04/2026
Antiepileptic   Topiramate  
Soluţie orală
Stabilitatea preparatelor farmaceutice Stabilitatea in amestec Factorii care influenteaza stabilitatea Compatibilitate Bibliografie pdf
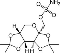
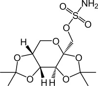
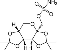
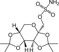
   Formula chimica  

Soluţie orală
Stabilitatea preparatelor farmaceutice   Soluţie orală   Stabilitatea preparatelor farmaceutice : Topiramate     
Continut Origine Excipient Temperatura Conservare Durata stabilității Bibiografie
Sticla din plastic praf 750 mg
® = ?
SyrSpend SF PH4® >> 150 mL
2-8°C Ferit de lumina
90 Ziua
3999

Sticla din plastic praf 750 mg
® = ?
SyrSpend SF PH4® >> 150 mL
20-25°C Ferit de lumina
90 Ziua
3999


  Mentions Légales