Cập nhật lần cuối :
21/01/2026
Thuốc chống nấm   Amphotericin B liposomale  
Thuốc nhỏ mắt
Dạng tiêm
Tính ổn định của các chế phẩm Độ ổn định khi trộn lẫn Những yếu tố ảnh hưởng đến độ ổn định Khả năng tương thích Tài liệu tham khảo Pdf
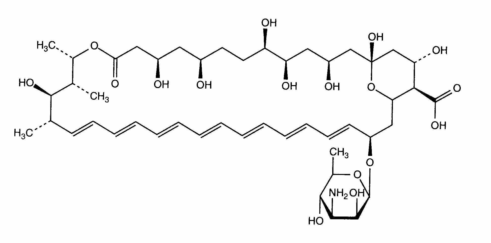
Liposome   Cấu trúc hóa học  

Thuốc nhỏ mắt
Tính ổn định của các chế phẩm   Thuốc nhỏ mắt   Tính ổn định của các chế phẩm : Amphotericin B liposomale     
Bao bì Nguyên bản Tá dược Nhiệt độ Bảo quản Thời gian ổn định Mục lục
Thủy tinh Lọ thuốc tiêm 5 mg
Ambisome®
Nước pha tiêm >> 1 ml
2-8°C Tránh ánh sáng
180 Ngày
2654

Thủy tinh Lọ thuốc tiêm 5 mg
Ambisome®
Nước pha tiêm >> 1 ml
25°C Tránh ánh sáng
180 Ngày
2654


  Mentions Légales