Laatste update :
21/01/2026
Antimycoticum   Amphotericin B liposomale  
Oogwater
injecteerbaar geneesmiddel
Stabiliteit van farmaceutische preparaten Stabiliteit in mengsels Factoren die de stabiliteit beïnvloeden Verenigbaarheden Literatuur pdf
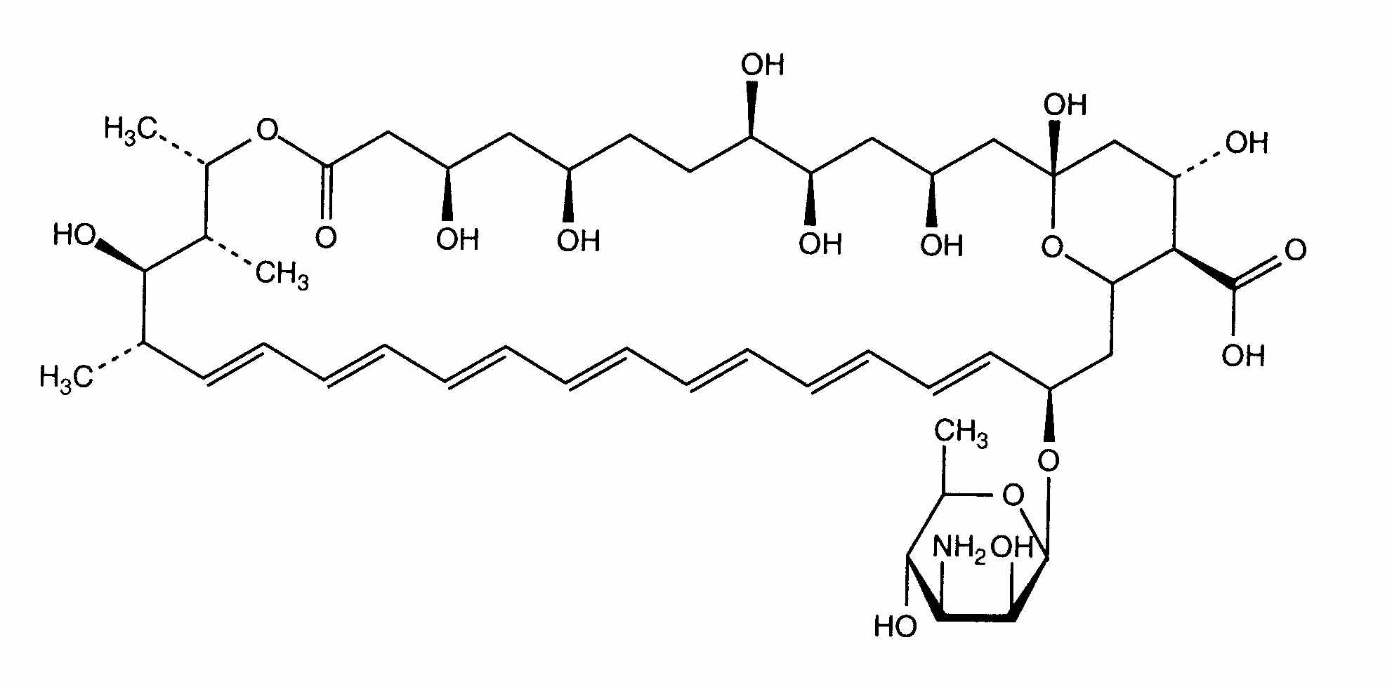
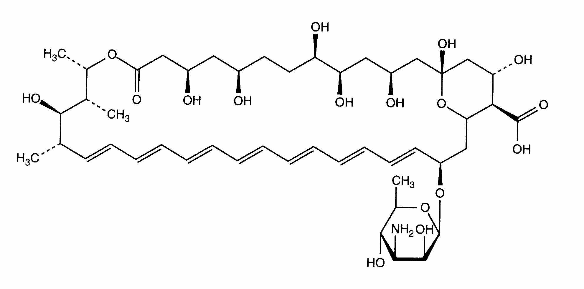
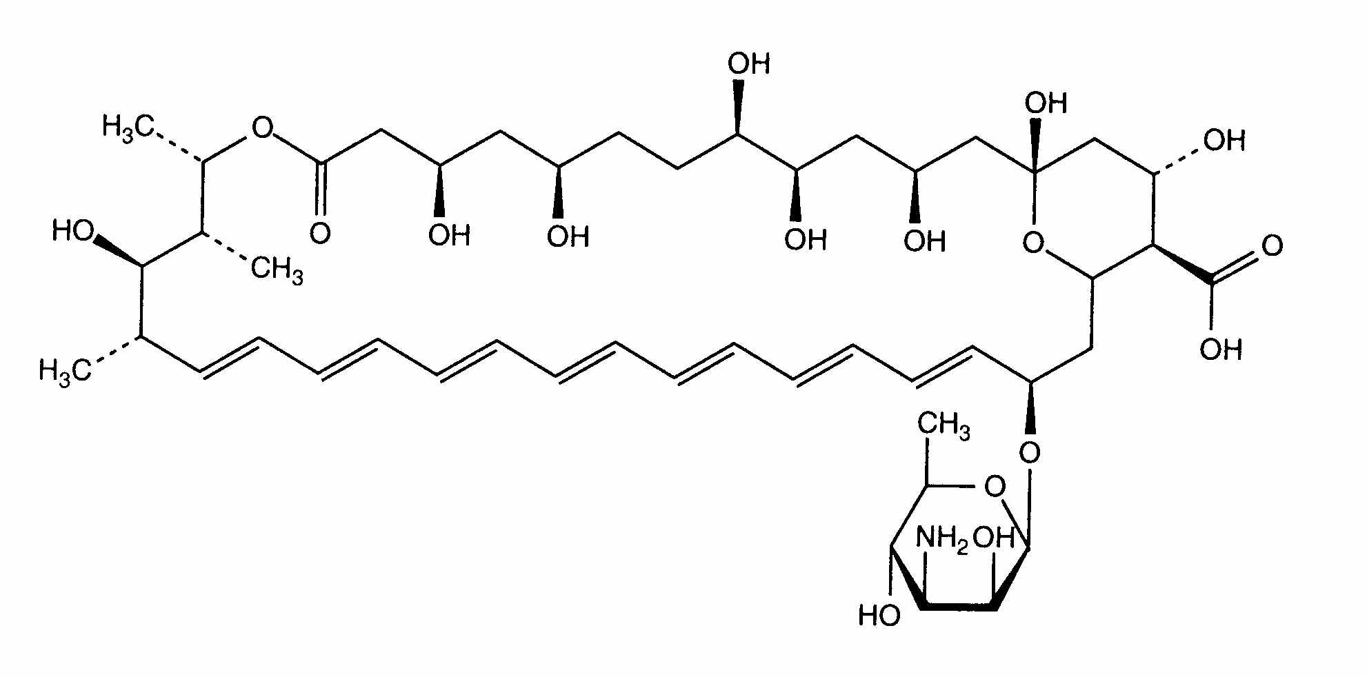
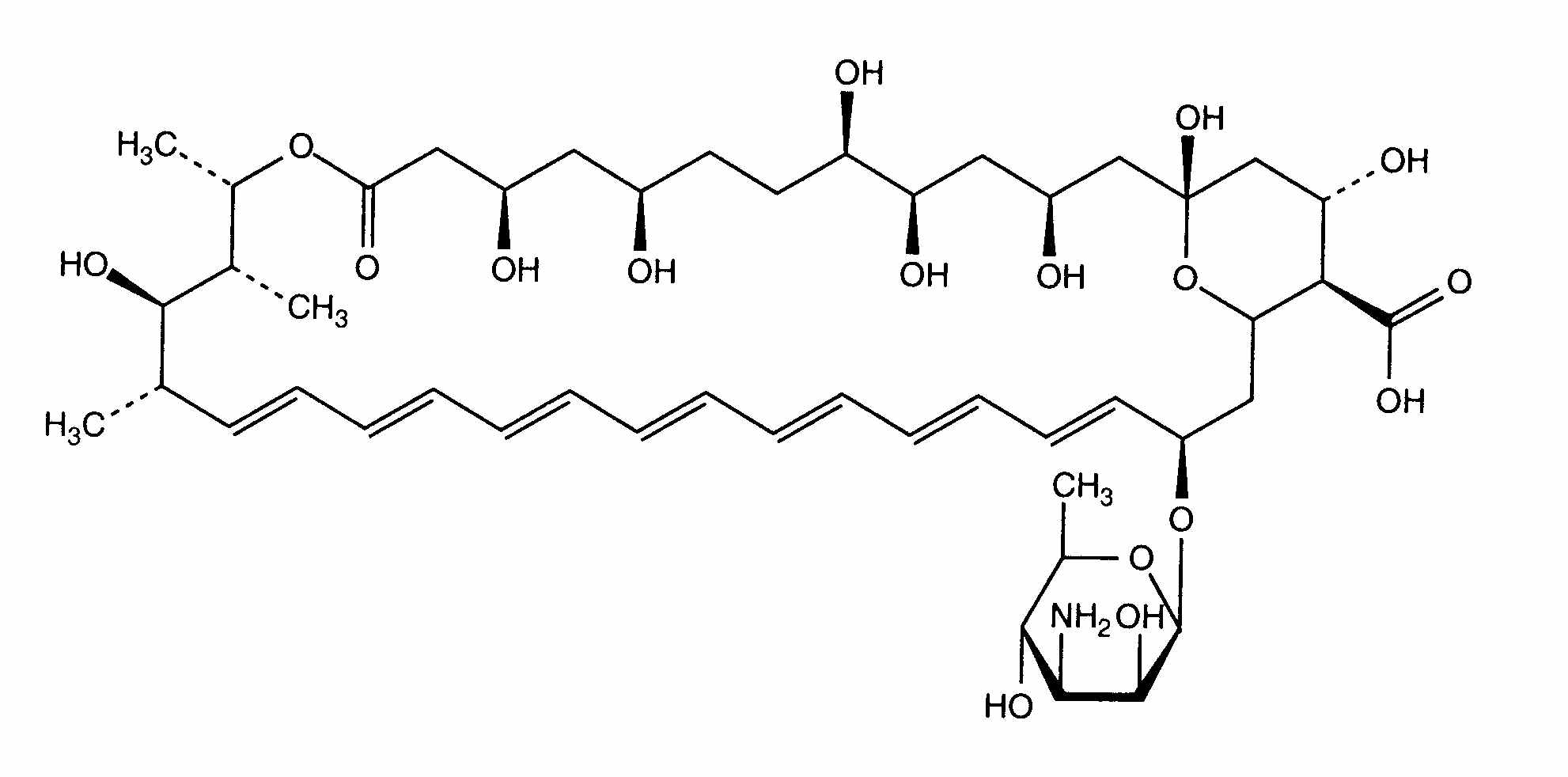
Liposomen   Molecuulstructuur  

Oogwater
Stabiliteit van farmaceutische preparaten   Oogwater   Stabiliteit van farmaceutische preparaten : Amphotericin B liposomale     
Verpakking Origine  ikˈsipēənt hulpstof Temperatuur Bewaring Duur van de stabiliteit Literatuur
Glas Geneeskunde fles voor injectie 5 mg
Ambisome®
water voor injectie >> 1 ml
2-8°C Buiten invloed van licht
180 Dag
2654

Glas Geneeskunde fles voor injectie 5 mg
Ambisome®
water voor injectie >> 1 ml
25°C Buiten invloed van licht
180 Dag
2654


  Mentions Légales