Letztes “update” :
03/03/2026
Antifungoid   Amphotericin B liposomale  
Augentropfen
Injektion
Stabilität von pharmazeutischen Präparaten Gemengestabilität Stabilitätbeeinflussende Faktoren Kompatibilitäten Literaturverzeichnis pdf
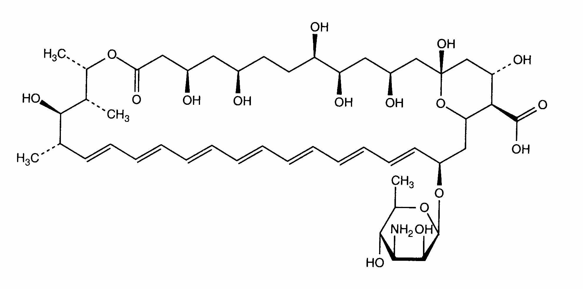
Liposom   Chemische Struktur  

Augentropfen
Stabilität von pharmazeutischen Präparaten   Augentropfen   Stabilität von pharmazeutischen Präparaten : Amphotericin B liposomale     
Behälter Origine Hilfsstoff Temperatur Konservierung Dauer der Stabilität Literaturverzeichnis
Glas Injektionsflasche 5 mg
Ambisome®
Wasser für Injektionszwecke >> 1 ml
2-8°C Ohne Licht
180 Tag
2654

Glas Injektionsflasche 5 mg
Ambisome®
Wasser für Injektionszwecke >> 1 ml
25°C Ohne Licht
180 Tag
2654


  Mentions Légales