Última actualização :
21/01/2026
Antifúngico   Amphotericin B liposomale  
solução oftálmica
injetável
Estabilidade de preparações farmacêuticas Estabilidade em misturas Factores que afectam a sua estabilidade Compatibilidade Bibliografía pdf
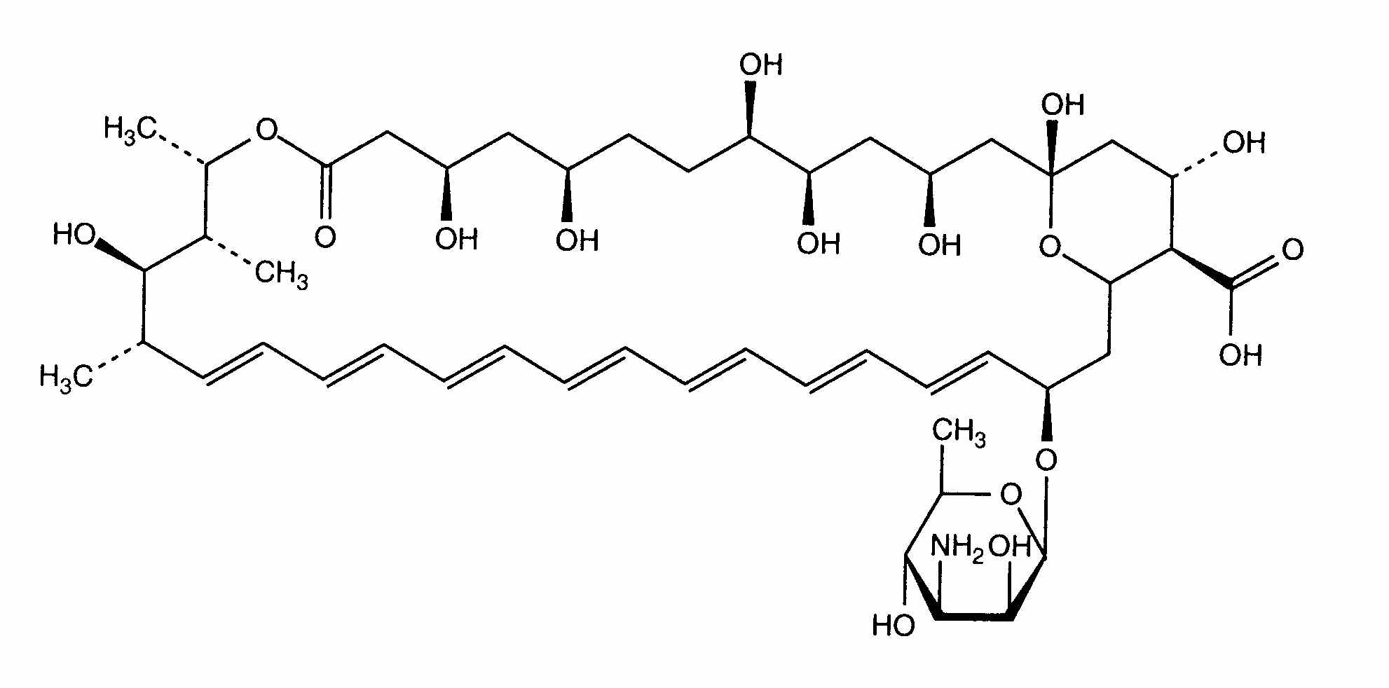
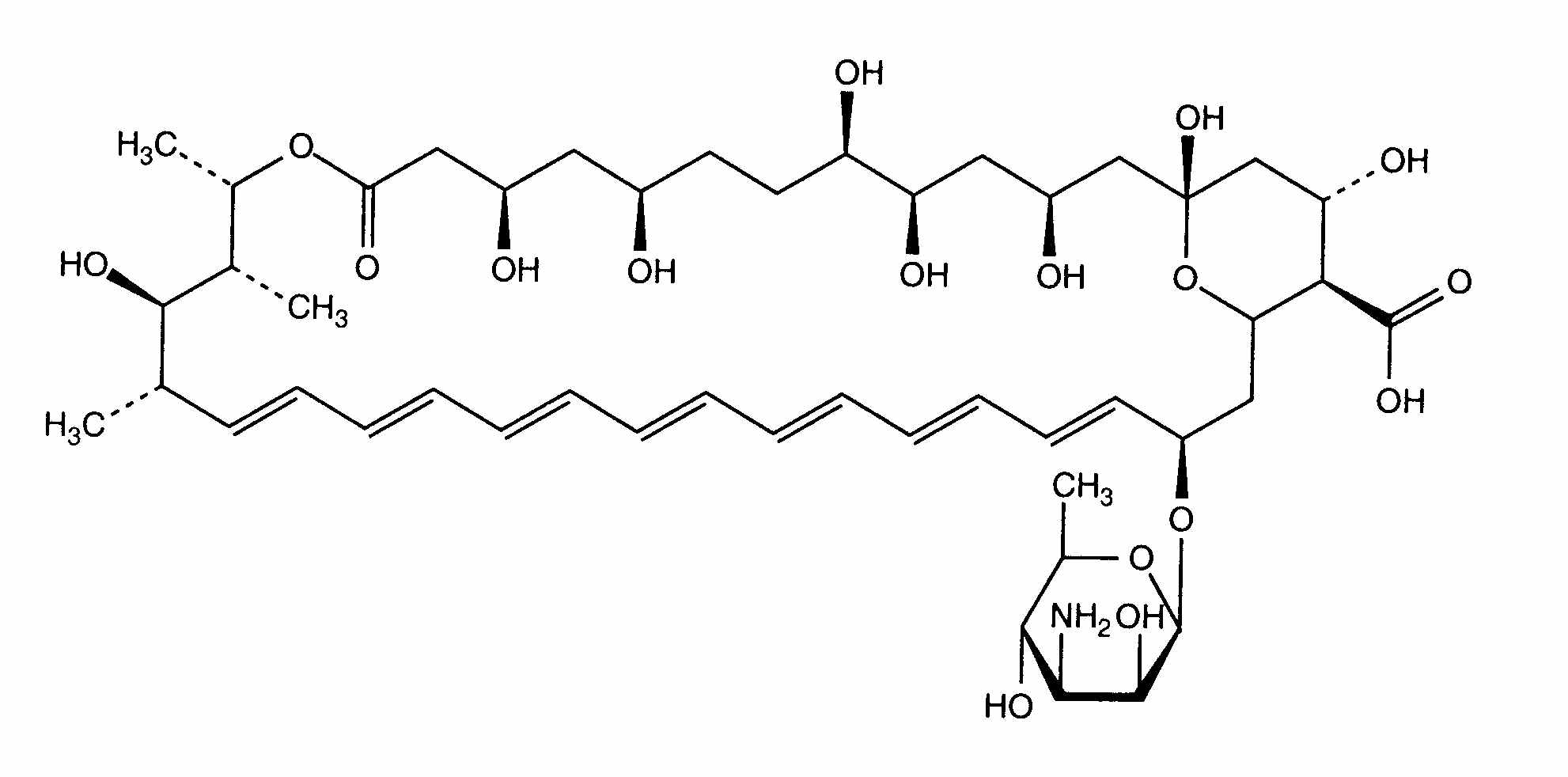
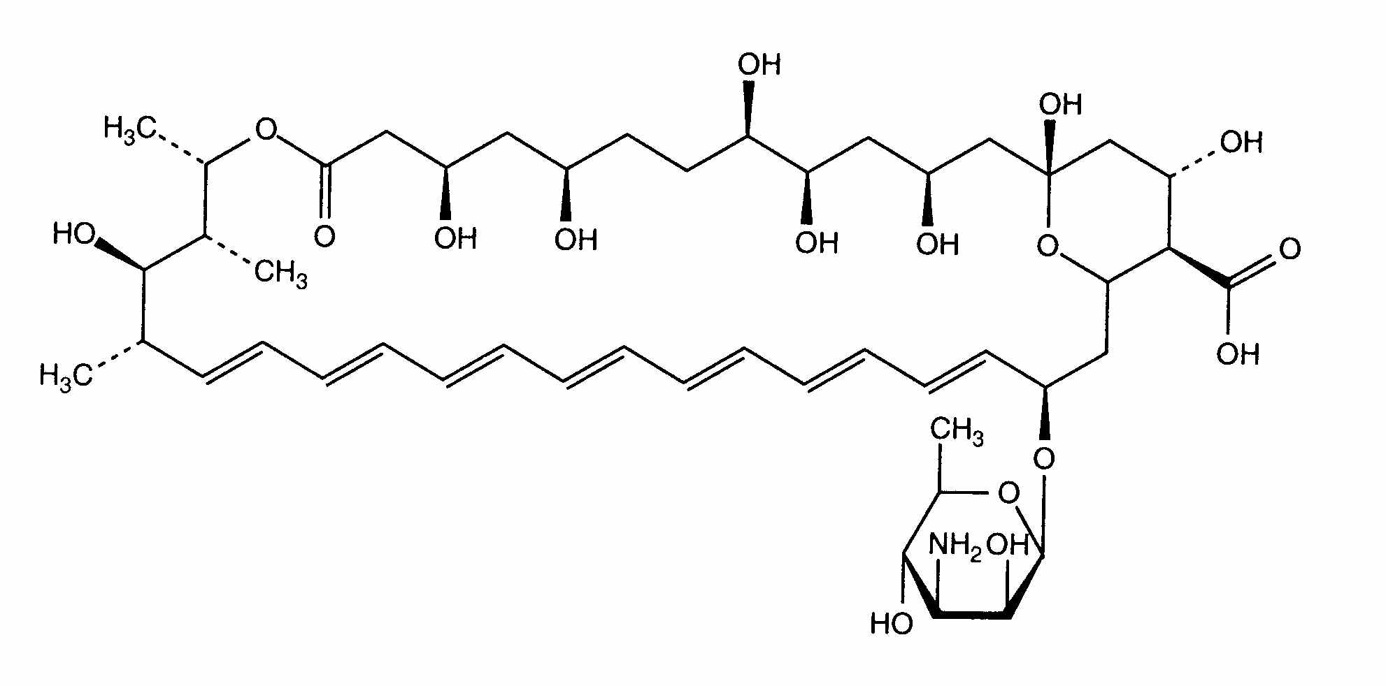
Liposoma   estrutura química  

solução oftálmica
Estabilidade de preparações farmacêuticas   solução oftálmica   Estabilidade de preparações farmacêuticas : Amphotericin B liposomale     
Embalagem Origine excipiente temperatura conservação Duração da estabilidade Bibliografia
vidro frasco de medicamento para injeção 5 mg
Ambisome®
água para injeção >> 1 ml
2-8°C ao abrigo da luz
180 dia
2654

vidro frasco de medicamento para injeção 5 mg
Ambisome®
água para injeção >> 1 ml
25°C ao abrigo da luz
180 dia
2654


  Mentions Légales