Last update :
21/01/2026
Antifungal   Amphotericin B liposomale  
Eye-drops
injection
Stability of pharmaceutical preparations Stability of mixtures Factors which affect stability Compatibility References pdf
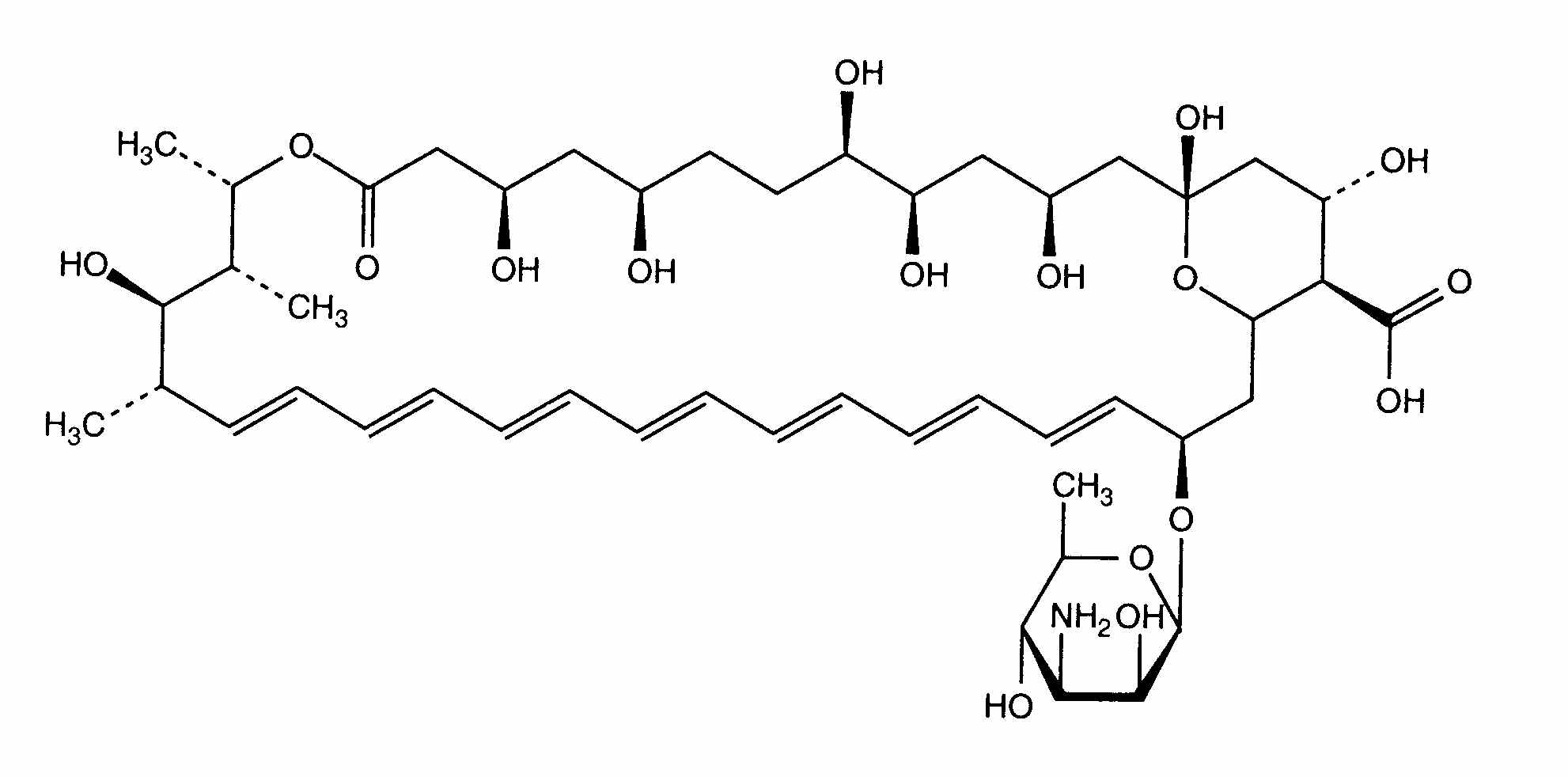
Liposome   Chemical structure  

Eye-drops
Stability of pharmaceutical preparations   Eye-drops   Stability of pharmaceutical preparations : Amphotericin B liposomale     
Container Origine excipient Temperature Storage Duration of stability References
Glass Medicine bottle for injection 5 mg
Ambisome®
Water for injection >> 1 ml
2-8°C Protect from light
180 Day
2654

Glass Medicine bottle for injection 5 mg
Ambisome®
Water for injection >> 1 ml
25°C Protect from light
180 Day
2654


  Mentions Légales