Останнє оновлення :
21/01/2026
Протигрибковий   Amphotericin B liposomale  
Очні краплі
ін'єкція
Стабільність фармацевтичних препаратів Стійкість сумішей Фактори, що впливають на стабільність Сумісність Список літератури pdf
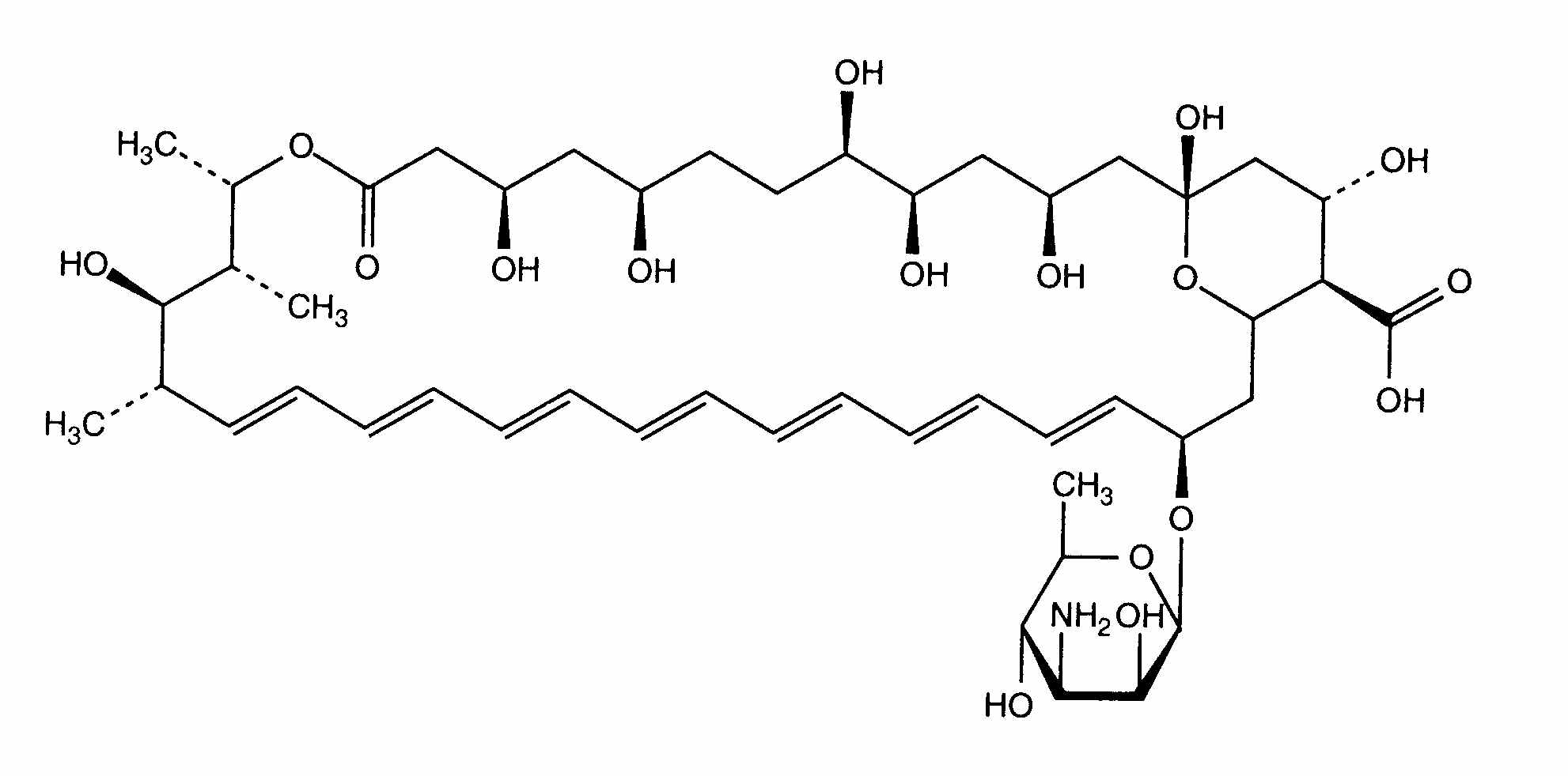
Ліпосома   Хімічна структура  

Очні краплі
Стабільність фармацевтичних препаратів   Очні краплі   Стабільність фармацевтичних препаратів : Amphotericin B liposomale     
Контейнер Origine допоміжна речовина температура Зберігання Тривалість стабільності Список літератури
скло Пляшка для ін'єкцій 5 mg
Ambisome®
Вода для ін'єкцій >> 1 ml
2-8°C Берегти від світла
180 День
2654

скло Пляшка для ін'єкцій 5 mg
Ambisome®
Вода для ін'єкцій >> 1 ml
25°C Берегти від світла
180 День
2654


  Mentions Légales