Posledná aktualizácia :
27/04/2026
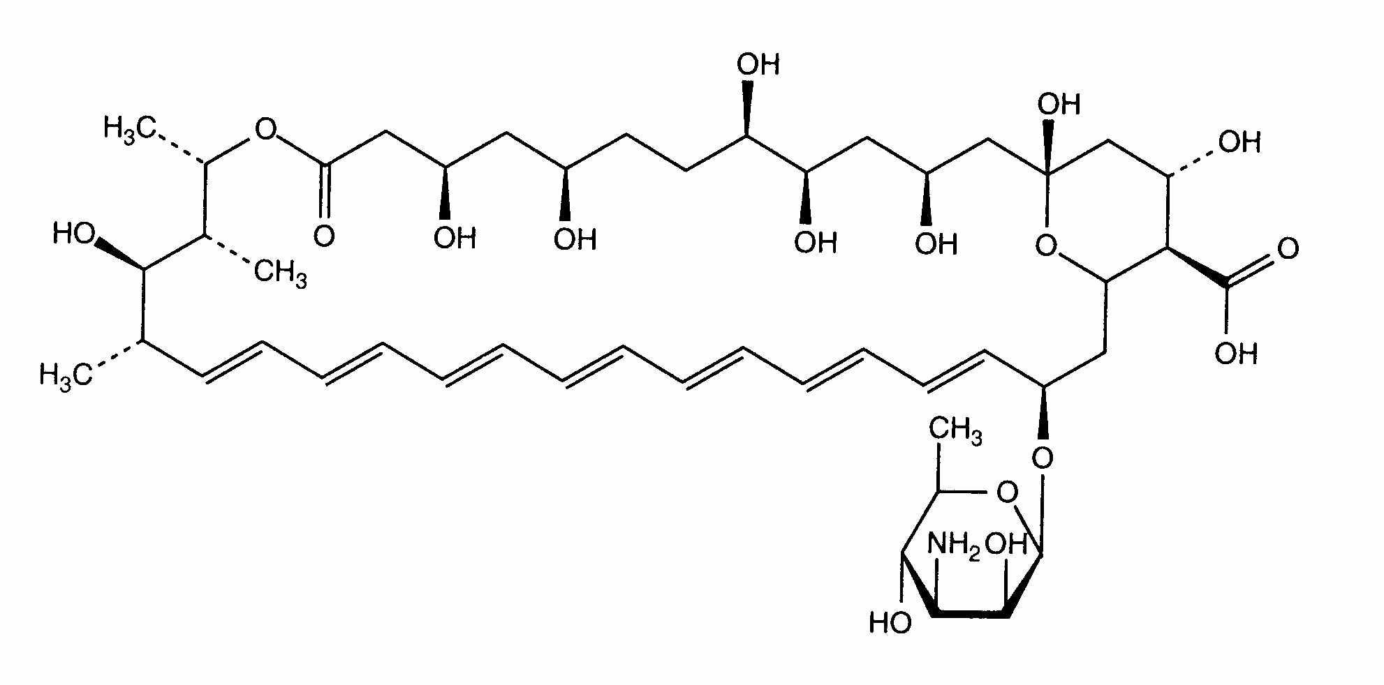
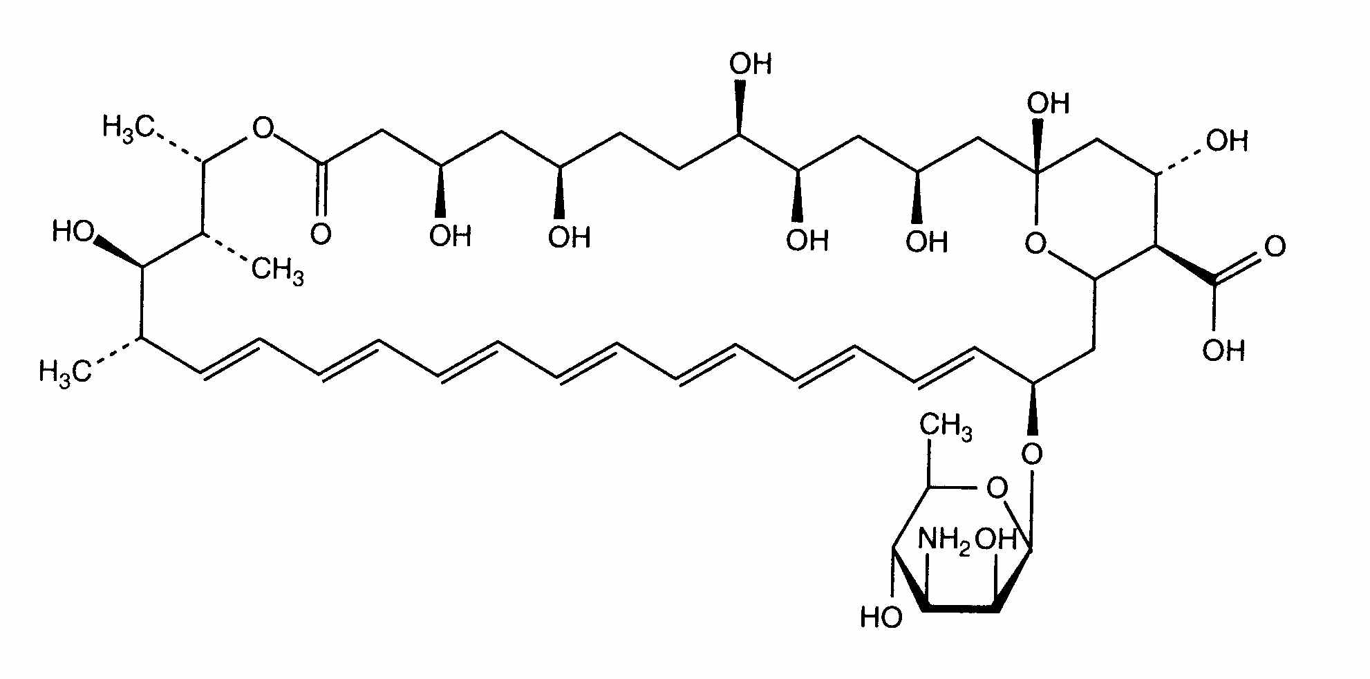
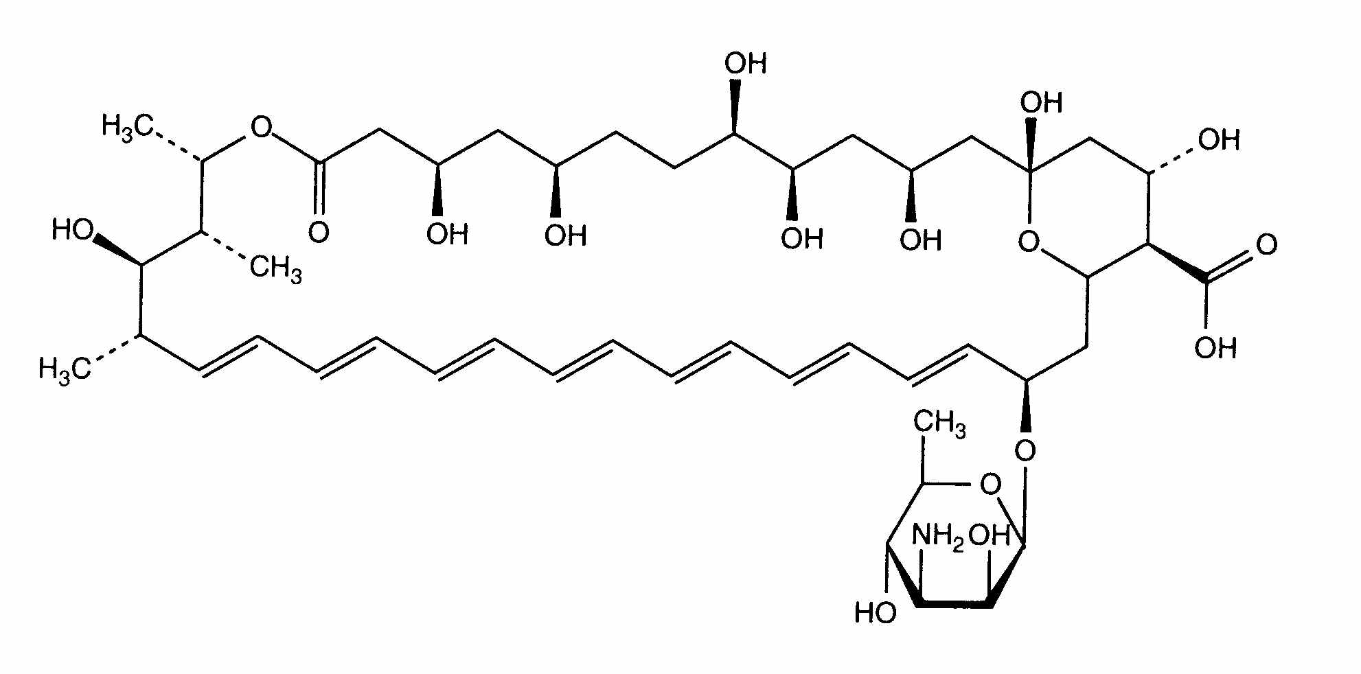
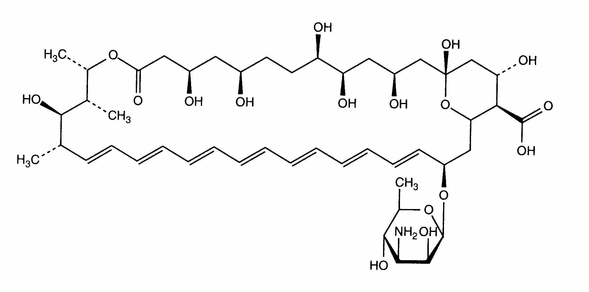
antimykotikum   Amphotericin B liposomale  
Očná instilácia
Injekcia
Stabilita farmaceutických prípravkov Stabilita v zmesiach Faktory ovplyvňujúce stabilitu Kompatibility Odkazy na literatúru PDF
lipozóm   Chemický vzorec  

Očná instilácia
Stabilita farmaceutických prípravkov   Očná instilácia   Stabilita farmaceutických prípravkov : Amphotericin B liposomale     
obal Pôvod Pomocná látka teplota uchovávanie Trvanie stability odkazy na lieteratúru
Sklo Injekčná liekovka 5 mg
Ambisome®
Voda na injekciu >> 1 ml
2-8°C Chránené pred svetlom
180 dní
2654

Sklo Injekčná liekovka 5 mg
Ambisome®
Voda na injekciu >> 1 ml
25°C Chránené pred svetlom
180 dní
2654


  Mentions Légales