Ultimo aggiornamento :
03/03/2026
Antimicotico   Amphotericin B liposomale  
Collirio
Iniezione
Stabilità dei preparati farmaceutici Stabilità in miscela Fattori che influenzano la stabilità Compatibilità Bibliografia pdf
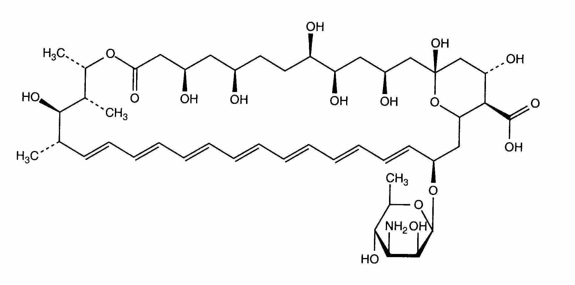
Liposoma   Struttura chimica  

Collirio
Stabilità dei preparati farmaceutici   Collirio   Stabilità dei preparati farmaceutici : Amphotericin B liposomale     
contenitore Origine eccipiente Temperatura Conservazione Durata della stabilità Bibliografia
Vetro Bottiglia di medicina per l'iniezione 5 mg
Ambisome®
acqua per preparazioni iniettabili >> 1 ml
2-8°C Al riparo dalla luce
180 Giorno
2654

Vetro Bottiglia di medicina per l'iniezione 5 mg
Ambisome®
acqua per preparazioni iniettabili >> 1 ml
25°C Al riparo dalla luce
180 Giorno
2654


  Mentions Légales