Viimeisin päivitys :
27/04/2026
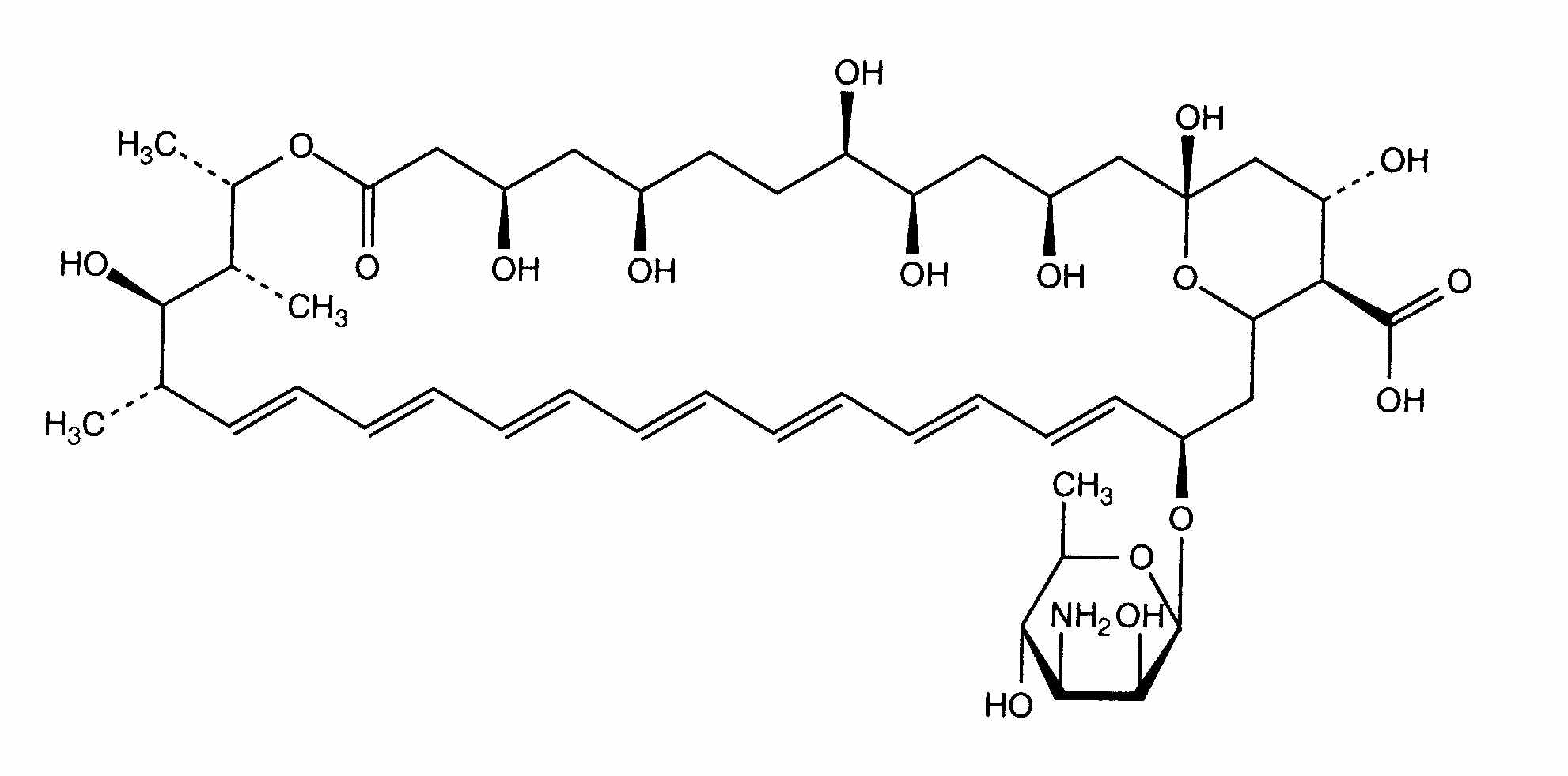
Sienilääkkeet   Amphotericin B liposomale  
Silmätipat
Injektioneste
Vakaus lääkevalmisteen Stabilius seoksissa Tekijät, jotka vaikuttavat stabiliuteen Yhteensopivuus Viitteet pdf
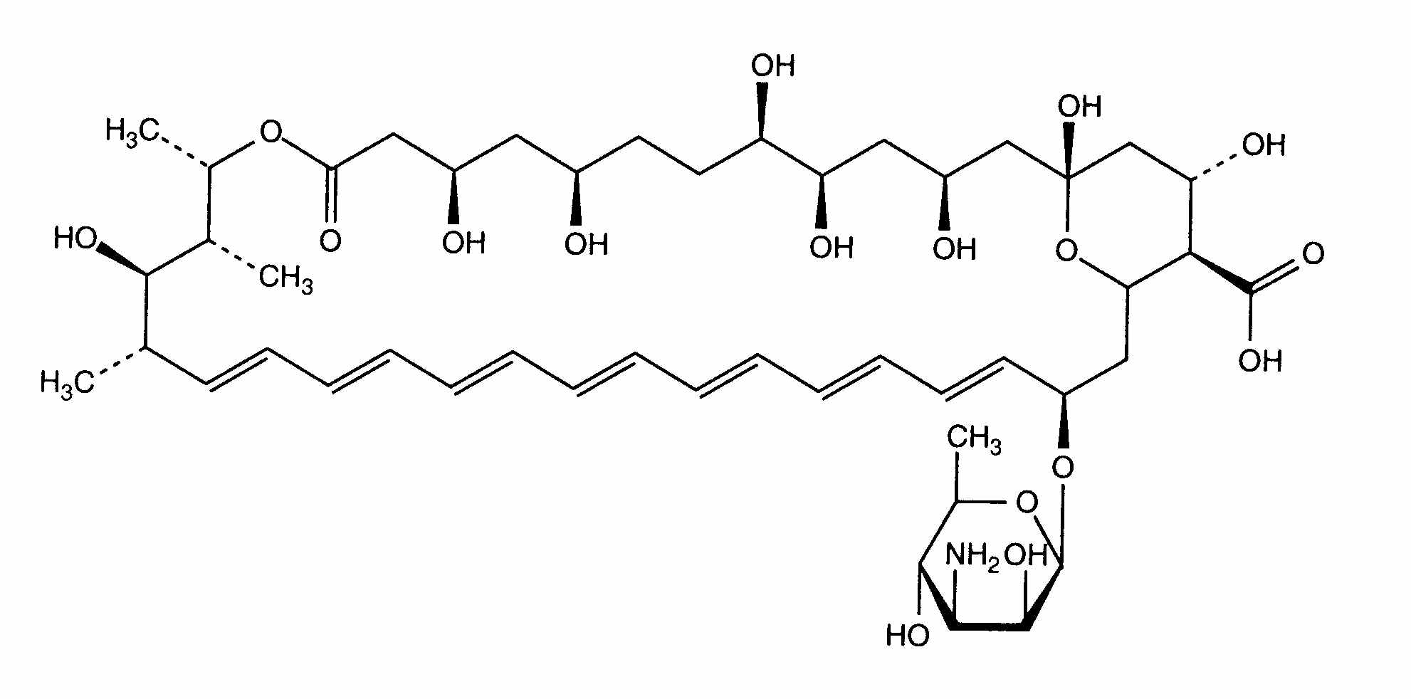
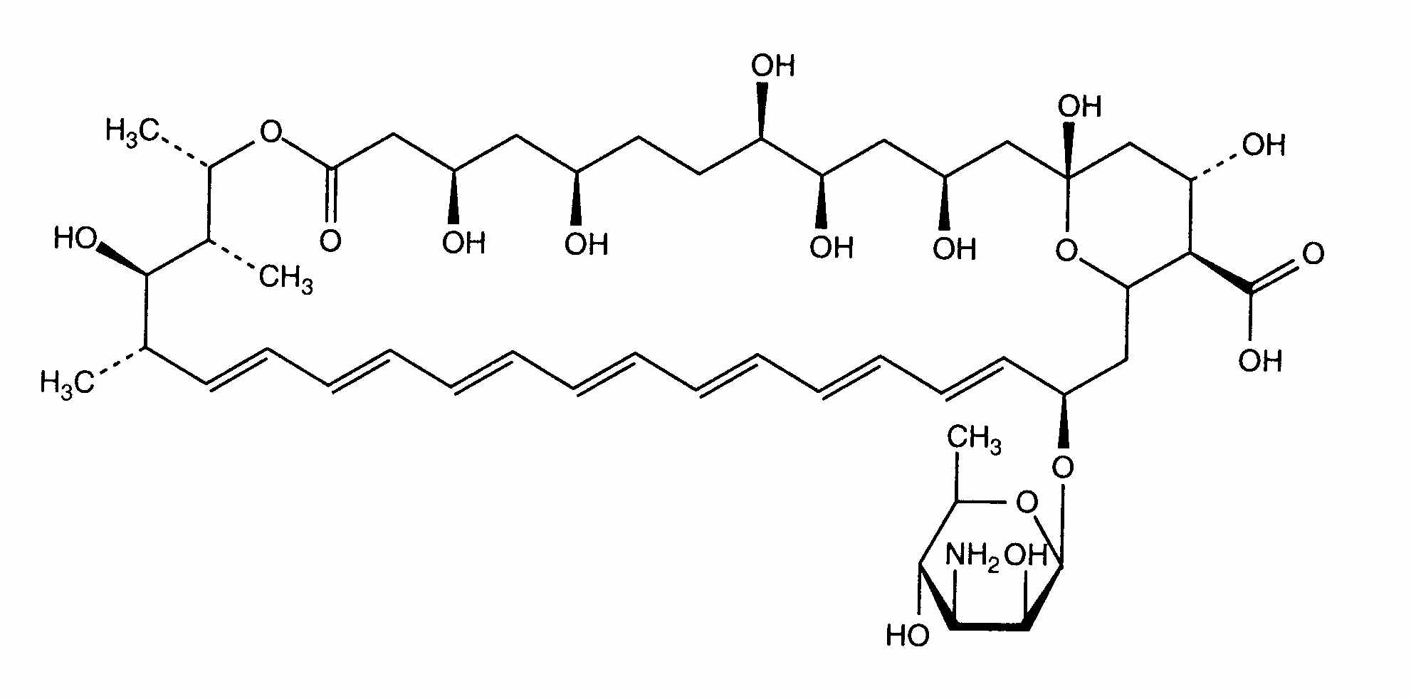
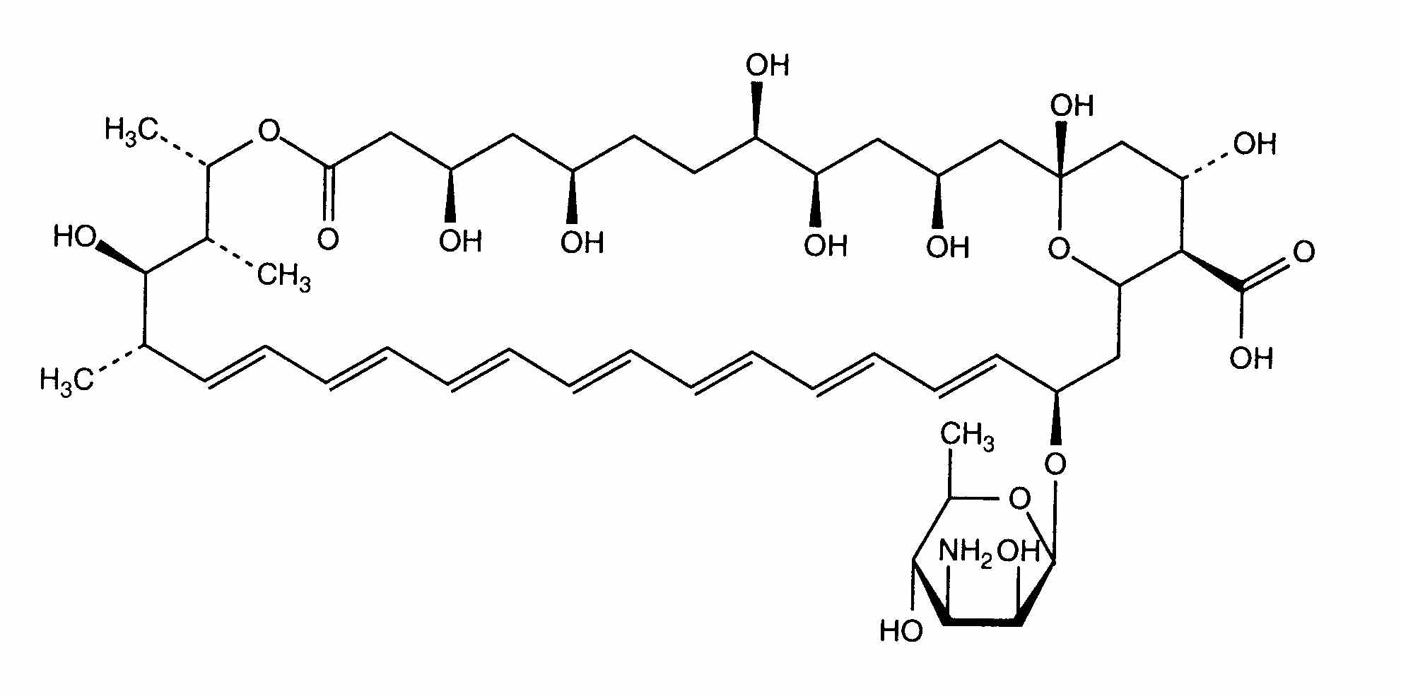
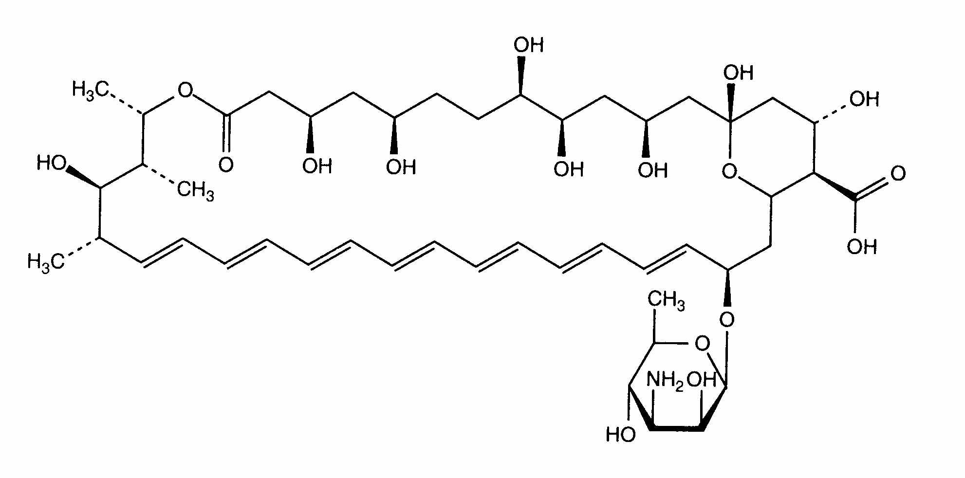
Liposomi   Kemiallinen rakenne  

Silmätipat
Vakaus lääkevalmisteen   Silmätipat   Vakaus lääkevalmisteen : Amphotericin B liposomale     
Astia Origine Apuaine Lämpötila Säilytys Vakauden kesto Viitteet
Lasi Injektionestepullo 5 mg
Ambisome®
Injektioneste >> 1 ml
2-8°C Suojattava valolta
180 Päivä
2654

Lasi Injektionestepullo 5 mg
Ambisome®
Injektioneste >> 1 ml
25°C Suojattava valolta
180 Päivä
2654


  Mentions Légales