最新更新 :
21/01/2026
抗真菌薬   Amphotericin B liposomale  
点眼薬
注射薬
調剤時の安定性 混合時の安定性 安定性に影響する因子 互換性 引用文献 PDF
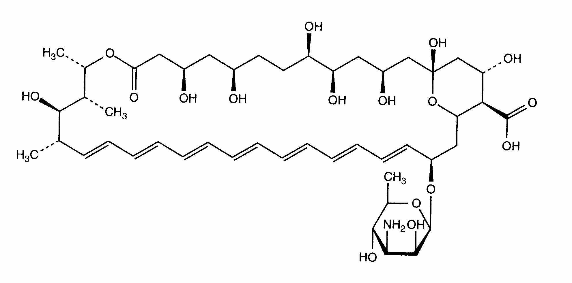
リポソーム   化学構造  

点眼薬
調剤時の安定性   点眼薬   調剤時の安定性 : Amphotericin B liposomale     
容器 Origine 添加剤 温度 保管 安定期間 引用文献
ガラス 注射用瓶 5 mg
Ambisome®
注射用蒸留水 >> 1 ml
2-8°C 遮光
180 日
2654

ガラス 注射用瓶 5 mg
Ambisome®
注射用蒸留水 >> 1 ml
25°C 遮光
180 日
2654


  Mentions Légales