最新更新 :
03/03/2026
抗真菌药   Amphotericin B liposomale  
眼药水
注射液
制剂的稳定性 混合物稳定性 影响稳定性的因素 兼容性 引用文献 PDF
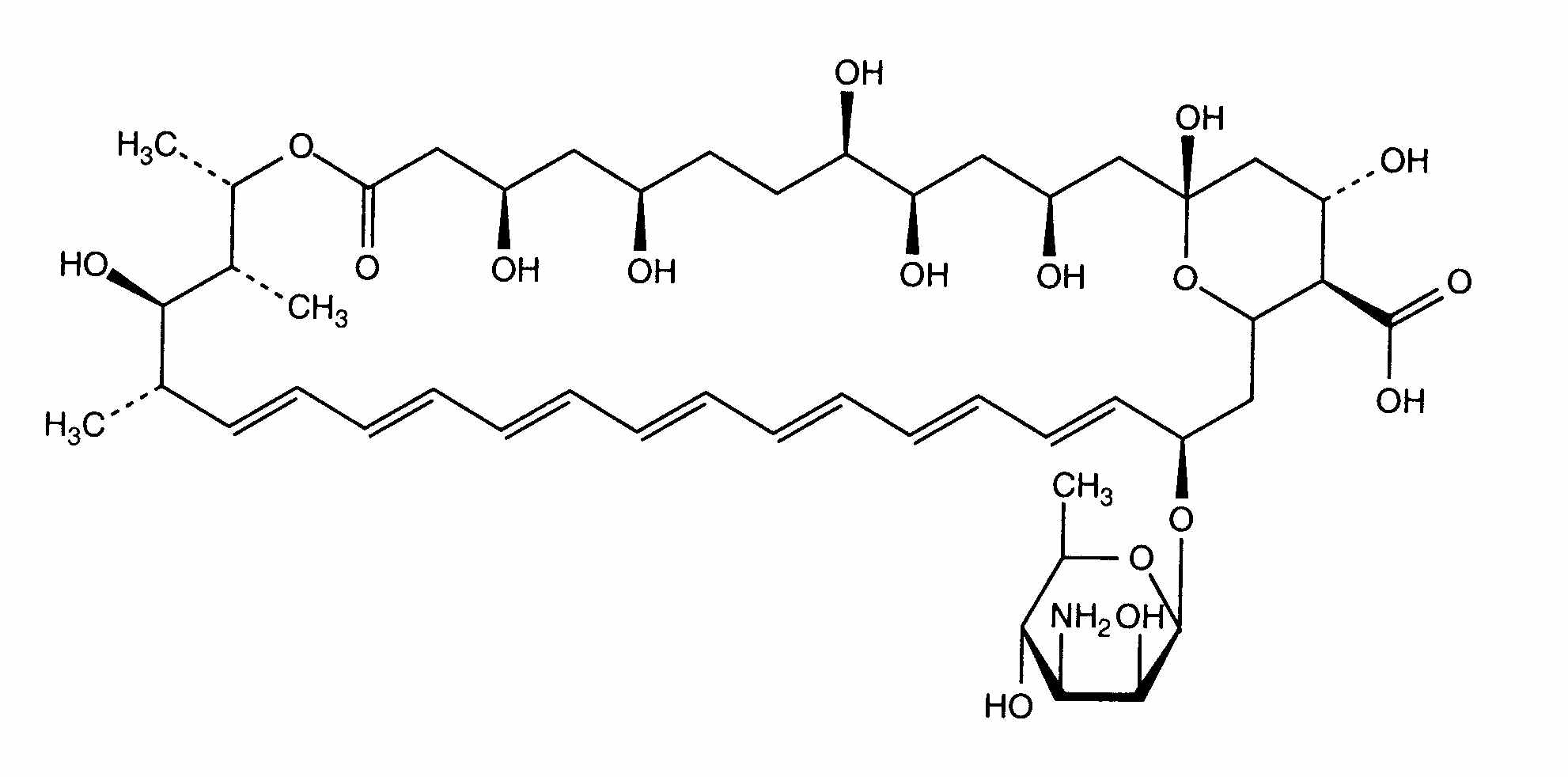
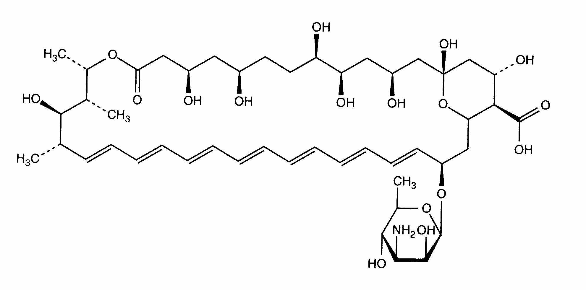
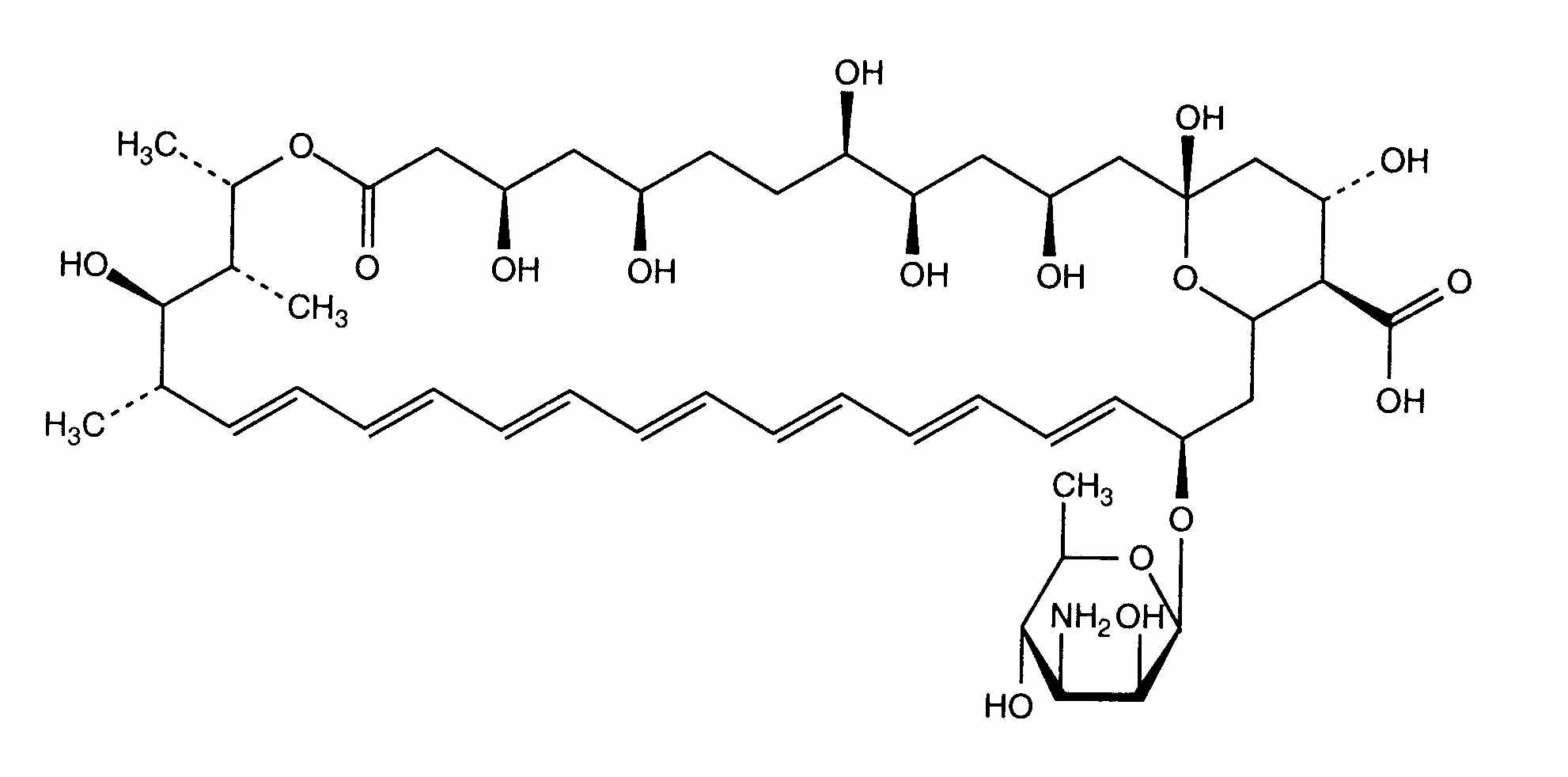
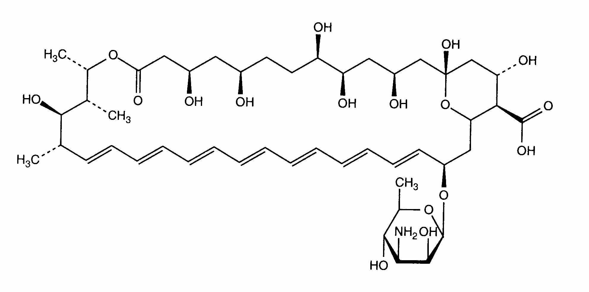
脂質體   化学式  

眼药水
制剂的稳定性   眼药水   制剂的稳定性 : Amphotericin B liposomale     
容器 Origine 添加剂 温度 保存 穩定持續時間 引用文献
玻璃 注射用瓶 5 mg
Ambisome®
注射用蒸留水 >> 1 ml
2-8°C 避光
180 白天
2654

玻璃 注射用瓶 5 mg
Ambisome®
注射用蒸留水 >> 1 ml
25°C 避光
180 白天
2654


  Mentions Légales