Последнее обновление :
05/12/2025
Противогрибковое средство   Amphotericin B liposomale  
Глазные капли
Инъекция
Стабильность фармацевтических препаратов Стабильность смесей Факторы, которые влияют на стабильность Совместимость Библиография pdf
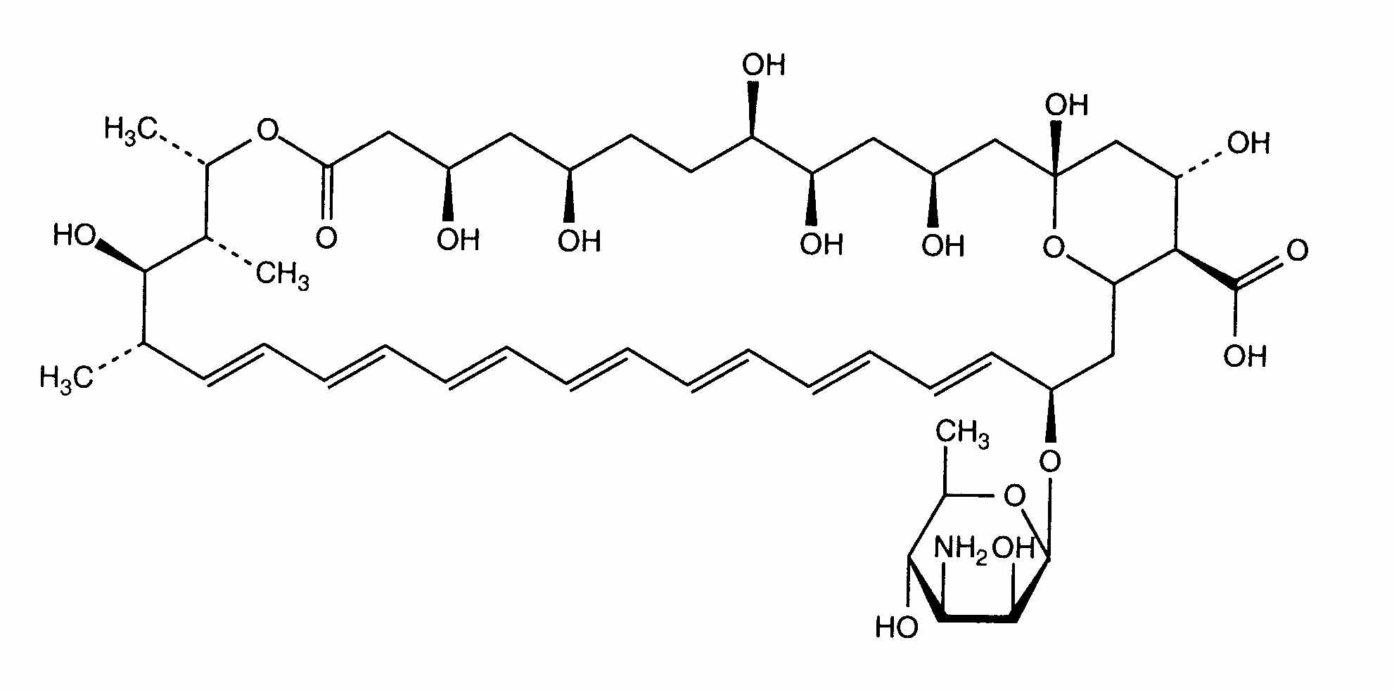
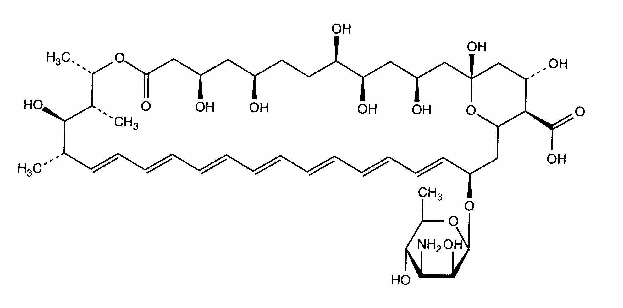
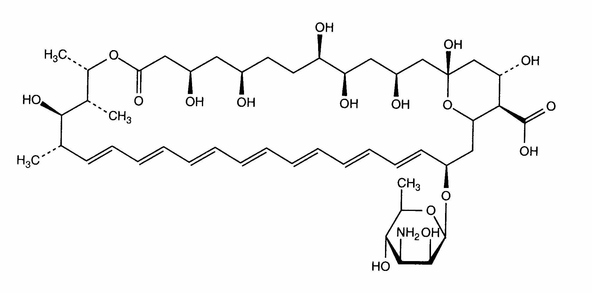
Липосома   Химическая структура  

Глазные капли
Стабильность фармацевтических препаратов   Глазные капли   Стабильность фармацевтических препаратов : Amphotericin B liposomale     
Упаковка Origine Наполнитель Температура Хранение Продолжительность стабильности Ссылки
Стекло Медицинская бутылка для инъекций 5 mg
Ambisome®
Вода для инъекций >> 1 ml
2-8°C Защищён от света
180 День
2654

Стекло Медицинская бутылка для инъекций 5 mg
Ambisome®
Вода для инъекций >> 1 ml
25°C Защищён от света
180 День
2654


  Mentions Légales