Poslední aktualizace :
27/04/2026
Priešgrybelinis vaistas   Amphotericin B liposomale  
Akių lašai
Įpurškimas
Stabilumas farmacinių preparatų Mišinių stabilumas Stabilumą lemiantys veiksniai Suderinamumas Bibliografija pdf
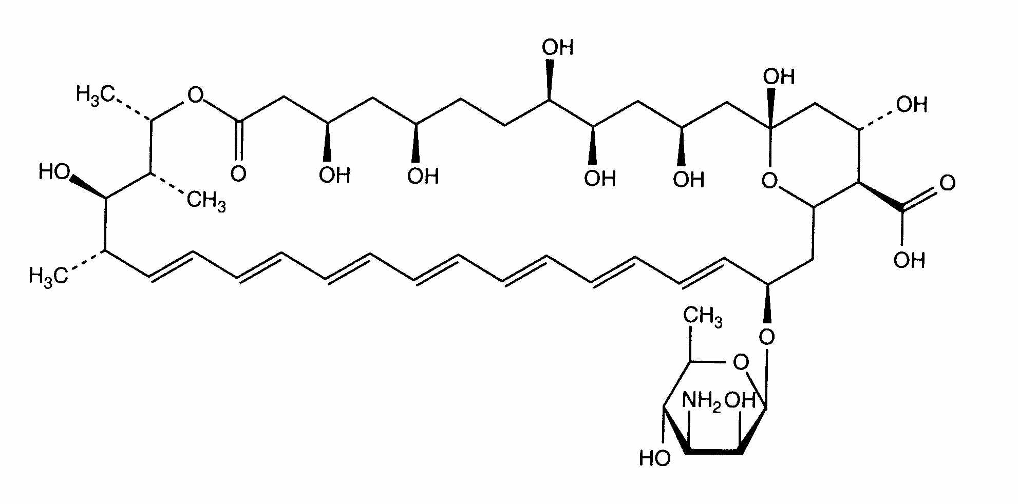
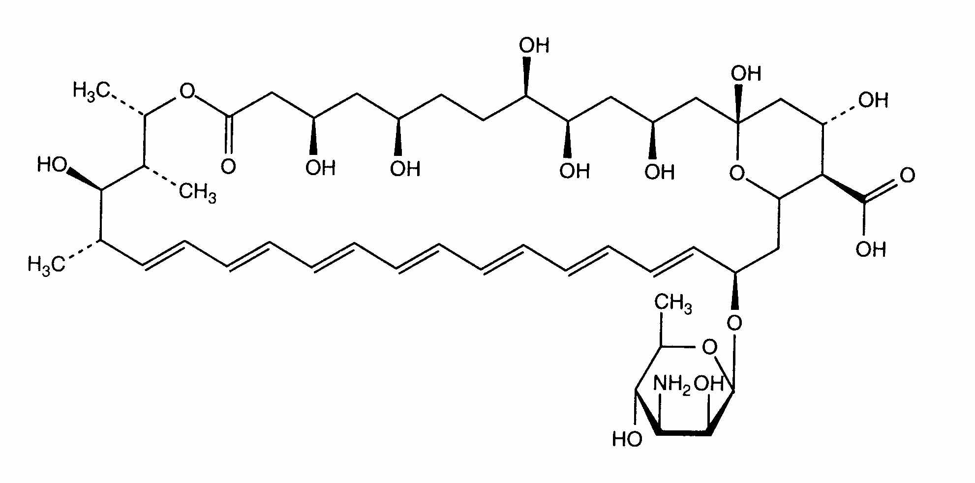
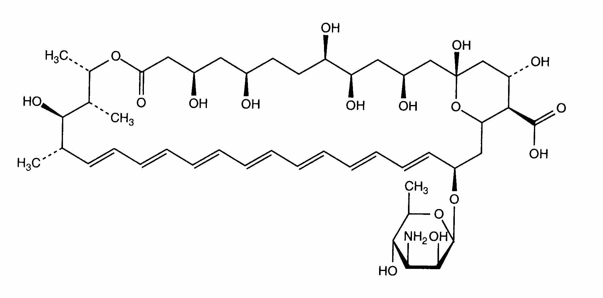
Liposoma   Cheminė sandara  

Akių lašai
Stabilumas farmacinių preparatų   Akių lašai   Stabilumas farmacinių preparatų : Amphotericin B liposomale     
Pakuotė Origine Ekscipientas Temperatūra Laikymas Stabilumo trukmė Nuorodos
Stiklas Vaistų buteliukas injekcijoms 5 mg
Ambisome®
Injekcijų vanduo >> 1 ml
2-8°C Apsaugotas nuo šviesos
180 Diena
2654

Stiklas Vaistų buteliukas injekcijoms 5 mg
Ambisome®
Injekcijų vanduo >> 1 ml
25°C Apsaugotas nuo šviesos
180 Diena
2654


  Mentions Légales