Seneste opdatering :
21/01/2026
Antisvampe   Amphotericin B liposomale  
Øjendråber
Injektion
Stabilitet af farmaceutiske tilberedninger Stabilitet i blandinger Faktorer der påvirker stabiliteten Kompatibilitet Bibliografi pdf
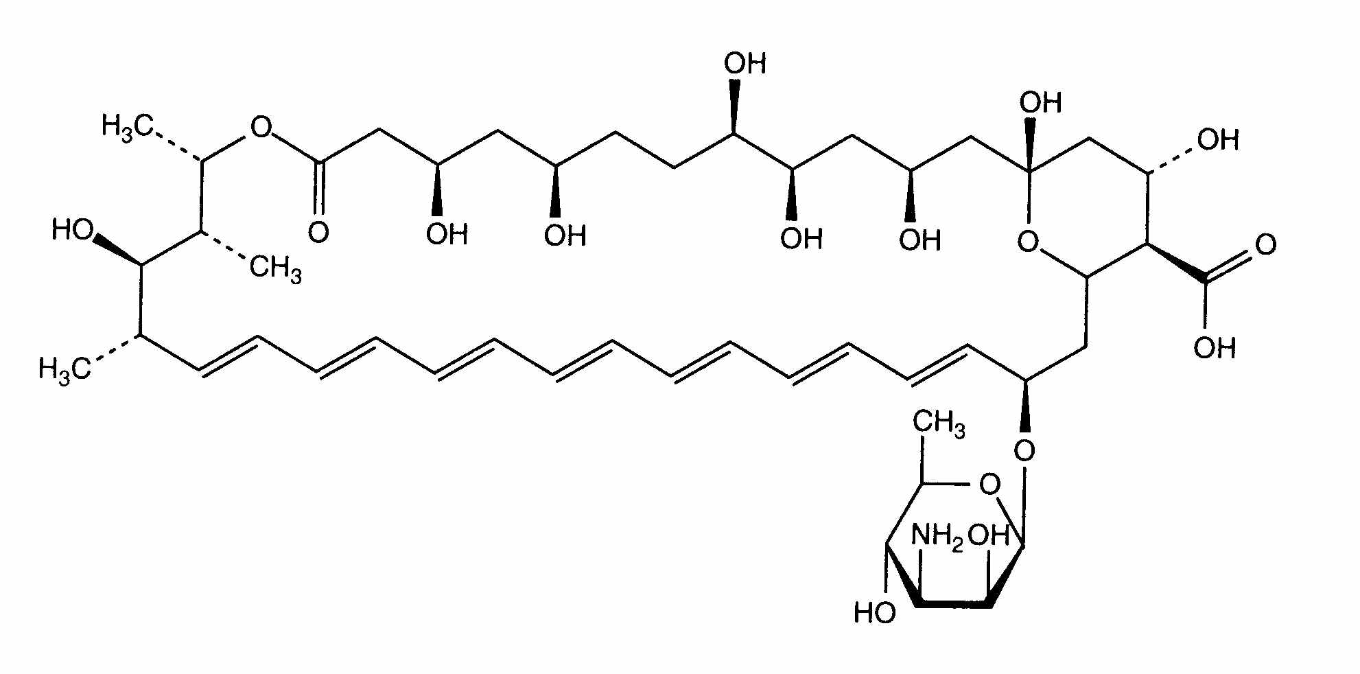
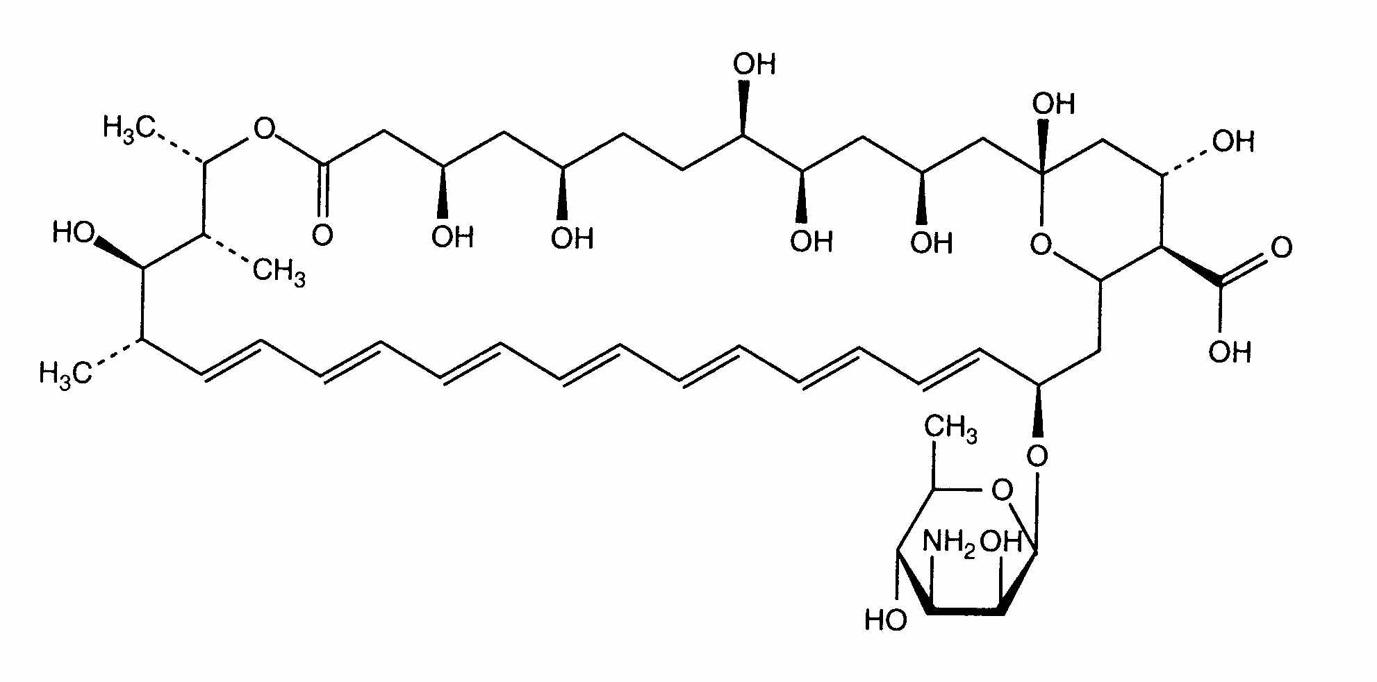
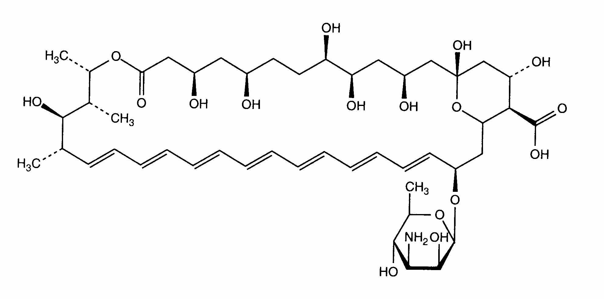
Liposom   Kemisk struktur  

Øjendråber
Stabilitet af farmaceutiske tilberedninger   Øjendråber   Stabilitet af farmaceutiske tilberedninger : Amphotericin B liposomale     
Beholder Origine Hjælpestof Temperatur Konservering Varighed af stabilitet Bibliografi
Glas Medicinflaske til injektion 5 mg
Ambisome®
Vand til injektion >> 1 ml
2-8°C Beskyt mod lys
180 Dag
2654

Glas Medicinflaske til injektion 5 mg
Ambisome®
Vand til injektion >> 1 ml
25°C Beskyt mod lys
180 Dag
2654


  Mentions Légales