Τελευταία ενημέρωση :
27/04/2026
Αντιμυκητικό   Amphotericin B liposomale  
Οφθαλμικές σταγόνες
Ενέσιμο
Σταθερότητα και συμβατότητα των φαρμάκων Σταθερότητα σε μίγματα Παράγοντας που επηρεάζει τη σταθερότητα Συμβατότητες Βιβλιογραφία pdf
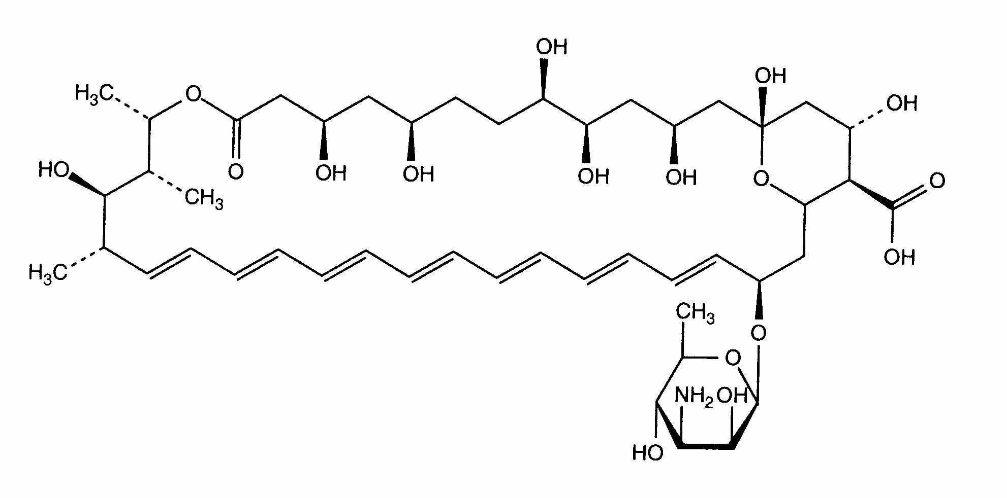
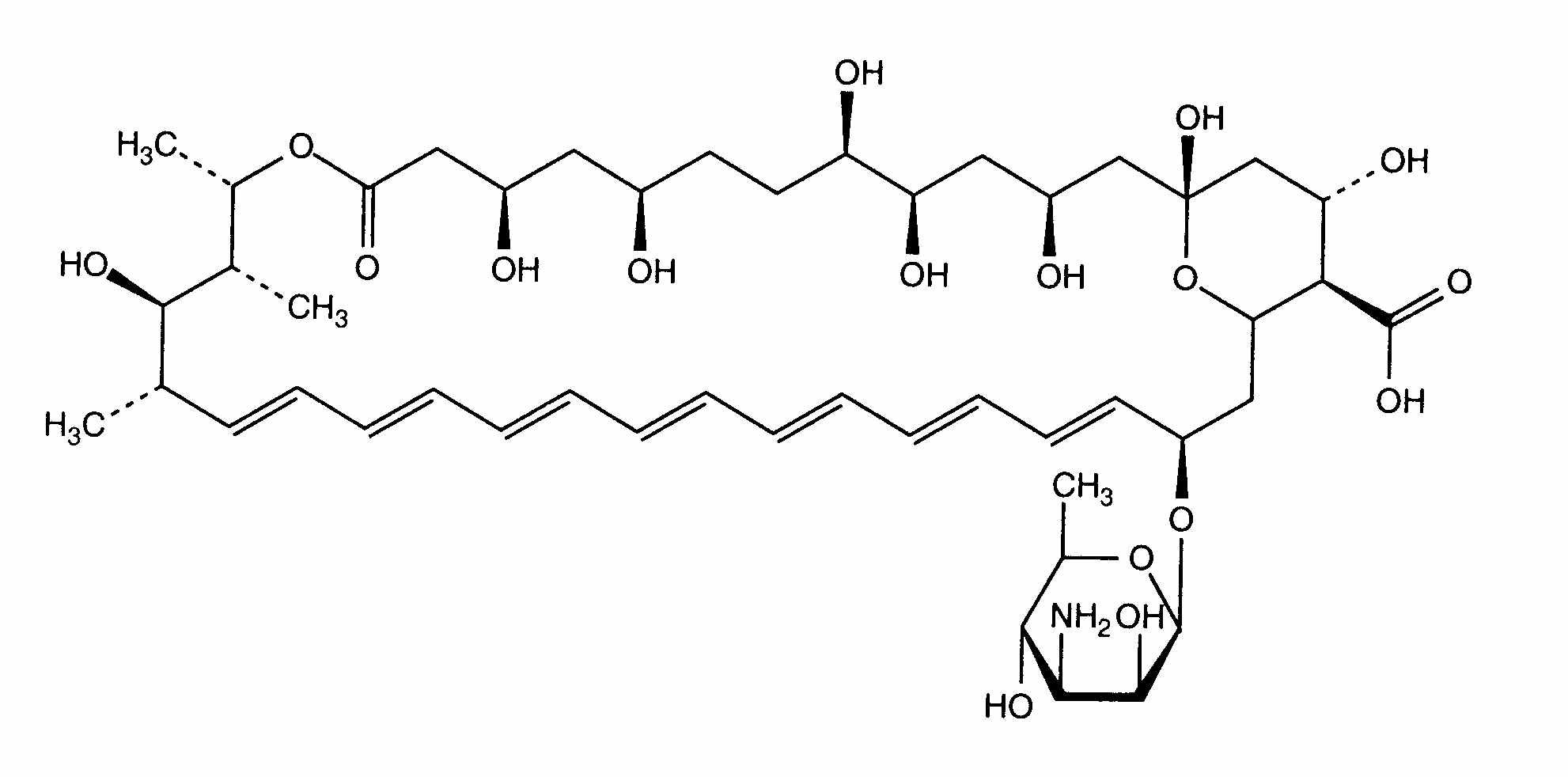
Λιπόσωμα   χημική δομή  

Οφθαλμικές σταγόνες
Σταθερότητα και συμβατότητα των φαρμάκων   Οφθαλμικές σταγόνες   Σταθερότητα και συμβατότητα των φαρμάκων : Amphotericin B liposomale     
Υποδοχέας Origine Έκδοχο Θερμοκρασία Αποθήκευση Διάρκεια σταθερότητας Βιβλιογραφία
Ύαλος Φιαλίδιο φαρμάκου για ένεση 5 mg
Ambisome®
Ύδωρ για ενέσιμα >> 1 ml
2-8°C Προστατεύετε από το φως
180 Ημέρα
2654

Ύαλος Φιαλίδιο φαρμάκου για ένεση 5 mg
Ambisome®
Ύδωρ για ενέσιμα >> 1 ml
25°C Προστατεύετε από το φως
180 Ημέρα
2654


  Mentions Légales