Son güncelleme :
27/04/2026
Antibiyotik   Tobramycin sulfate  
Aerosol
Enjeksiyon Göz damlası Oral solüsyon / oral çözelti
Farmasötik preparatlar Kararlılığı Karışımlardaki stabilitesi Stabiliteyi etkileyen faktörler Uyumluluk Kaynaklar pdf
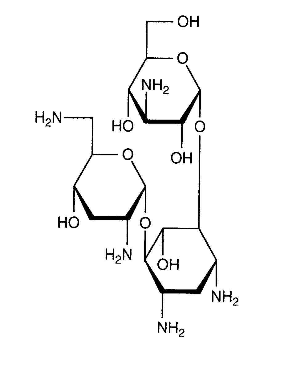
   Kimyasal yapı   

Aerosol
Farmasötik preparatlar Kararlılığı   Aerosol   Farmasötik preparatlar Kararlılığı : Tobramycin sulfate     
Saklama kabı Origine yardımcı madde Isı Saklama    Stabilite süresi Kaynaklar
Cam Enjeksiyon için ilaç şişesi 2400 mg
Nebcin®
%0.45 NaCl >> 30 ml
25°C Belirtilmemiş
195 Gün
3431
Kanıt düzeyi A

Cam Enjeksiyon için ilaç şişesi 2400 mg
Nebcin®
%0.45 NaCl >> 30 ml
4°C Belirtilmemiş
195 Gün
3431
Kanıt düzeyi A


  Mentions Légales