Siste oppdatering :
27/04/2026
Antibiotika   Tobramycin sulfate  
Aerosol
Injeksjon Mikstur Øyedråper
Stabilitet av farmasøytiske preparater Stabilitet i blandinger Faktorer som påvirker stabiliteten Kompatibilitet Referanser pdf
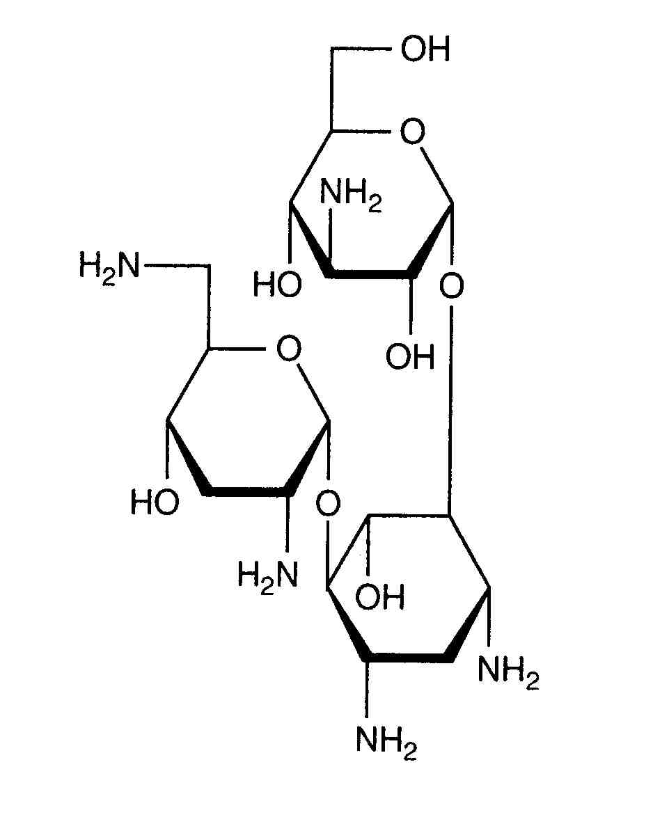
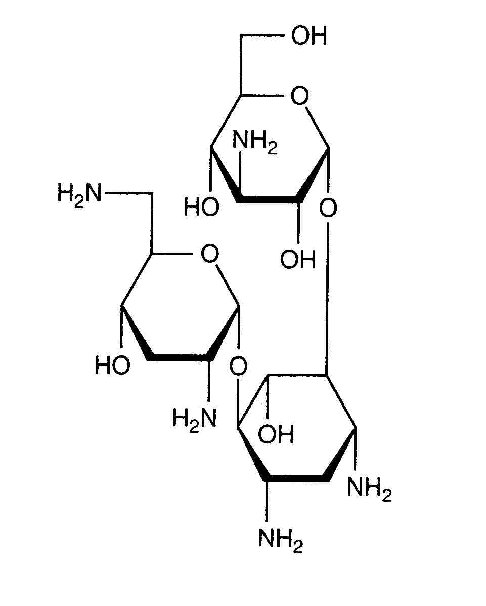
   Kjemisk struktur  

Aerosol
Stabilitet av farmasøytiske preparater   Aerosol   Stabilitet av farmasøytiske preparater : Tobramycin sulfate     
Beholder Origine Hjelpestoff Temperatur Oppbevaring Varighet av stabilitet Referanser
Glass Hetteglass 2400 mg
Nebcin®
NaCl 0.45% >> 30 ml
25°C Ikke angitt
195 Dag
3431
Bevisgrad A

Glass Hetteglass 2400 mg
Nebcin®
NaCl 0.45% >> 30 ml
4°C Ikke angitt
195 Dag
3431
Bevisgrad A


  Mentions Légales