Zadnji put ažurirano :
27/04/2026
antibiotik   Tobramycin sulfate  
aerosol
injekcija kapi za oko oralna otopina
Stabilnost farmaceutskih pripravaka Stabilnost mješavine Stabilizacijski faktor Kompatibilnosti Bibliografija pdf
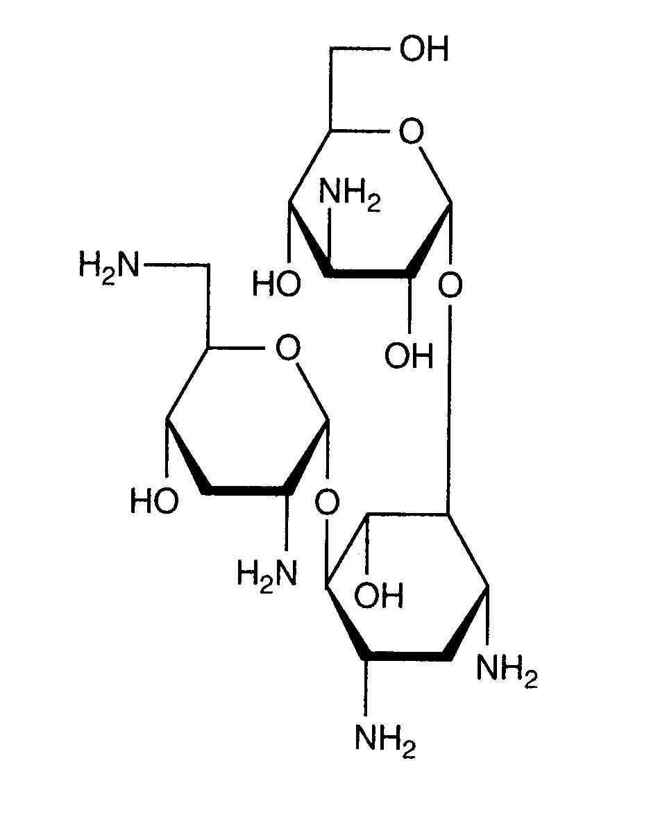
   Kemijska struktura  

aerosol
Stabilnost farmaceutskih pripravaka   aerosol   Stabilnost farmaceutskih pripravaka : Tobramycin sulfate     
Kontejner Origine pomoćna tvar temperatura Konzerviranje Trajanje stabilnosti Bibliografija
čaša bočica za injekcije 2400 mg
Nebcin®
NaCl 0.45% >> 30 ml
25°C nespecifičan
195 dan
3431
Razina dokaza A

čaša bočica za injekcije 2400 mg
Nebcin®
NaCl 0.45% >> 30 ml
4°C nespecifičan
195 dan
3431
Razina dokaza A


  Mentions Légales