Ultimele actualizari :
27/04/2026
Antibiotic   Tobramycin sulfate  
Aerosol
colir Injectabil Soluţie orală
Stabilitatea preparatelor farmaceutice Stabilitatea in amestec Factorii care influenteaza stabilitatea Compatibilitate Bibliografie pdf
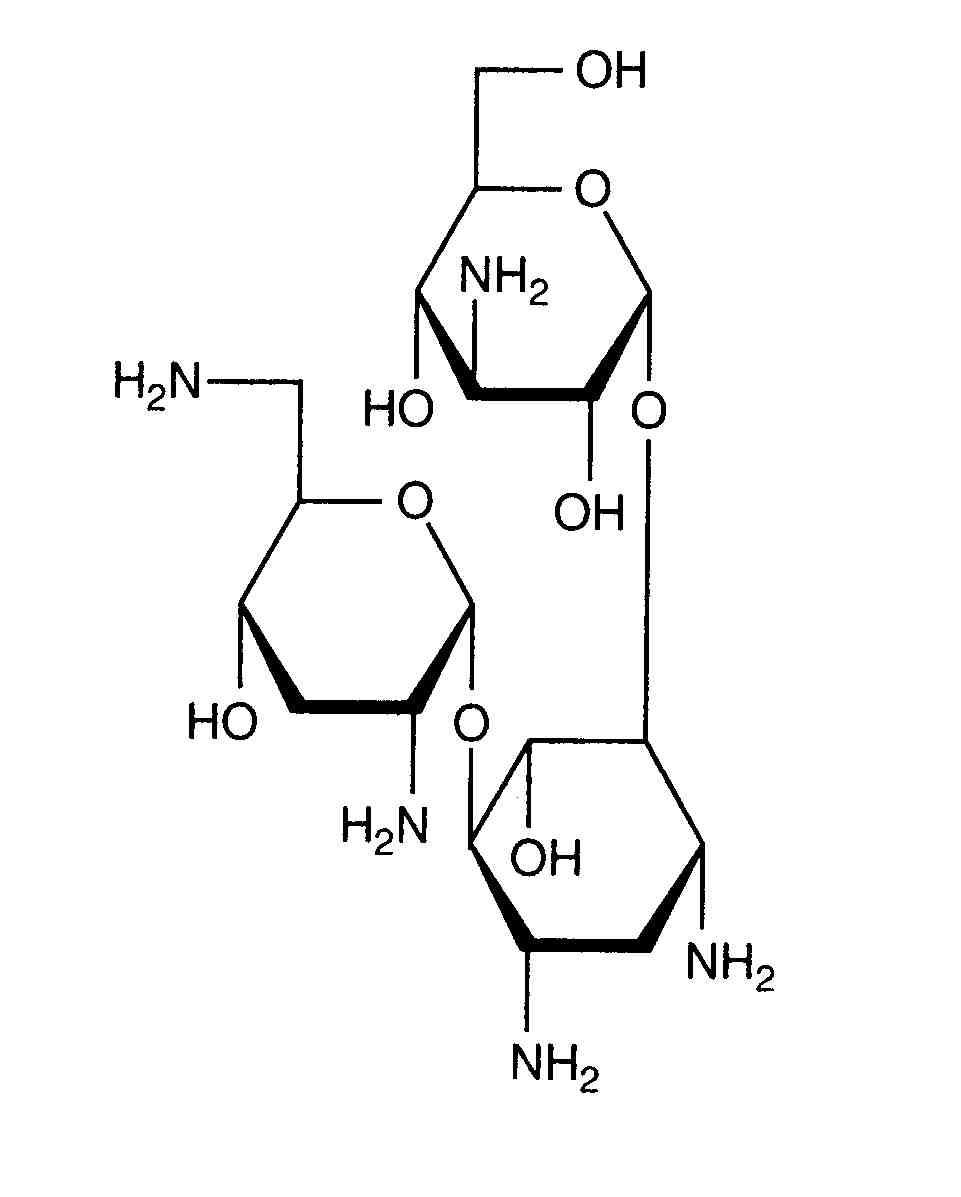
   Formula chimica  

Aerosol
Stabilitatea preparatelor farmaceutice   Aerosol   Stabilitatea preparatelor farmaceutice : Tobramycin sulfate     
Continut Origine Excipient Temperatura Conservare Durata stabilității Bibiografie
sticla Flacon Flacon pentru medicament injectabil pentru injecţie 2400 mg
Nebcin®
NaCl 0.45% >> 30 ml
25°C Neprecizat
195 Ziua
3431
Nivel de evidență A

sticla Flacon Flacon pentru medicament injectabil pentru injecţie 2400 mg
Nebcin®
NaCl 0.45% >> 30 ml
4°C Neprecizat
195 Ziua
3431
Nivel de evidență A


  Mentions Légales