Última actualización :
27/04/2026
Antibiótico   Tobramycin sulfate  
Aerosol
Gotas oculares Inyectables Solución Oral
La estabilidad de las preparaciones farmacéuticas Estabilidad en mezcla Factores que influyen sobre la estabilidad Compatibilidades Bibliografía pdf
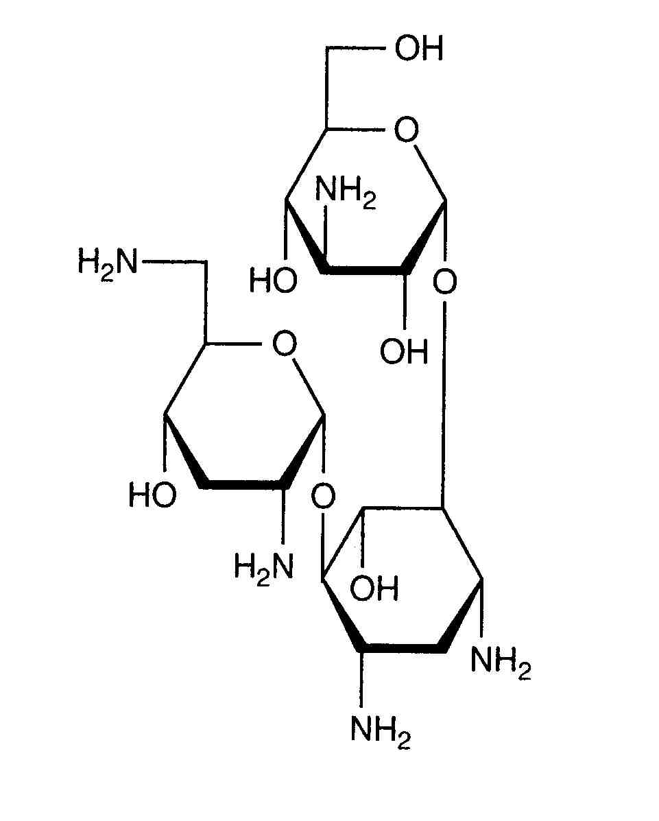
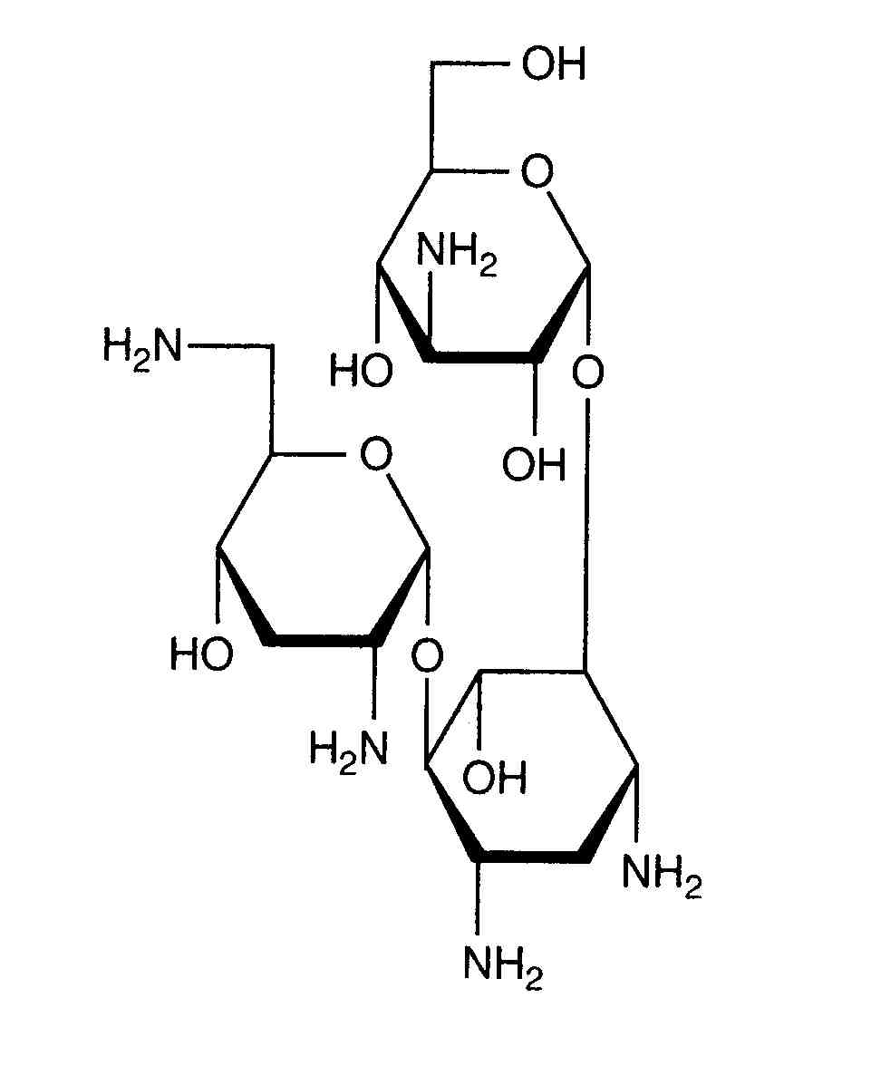
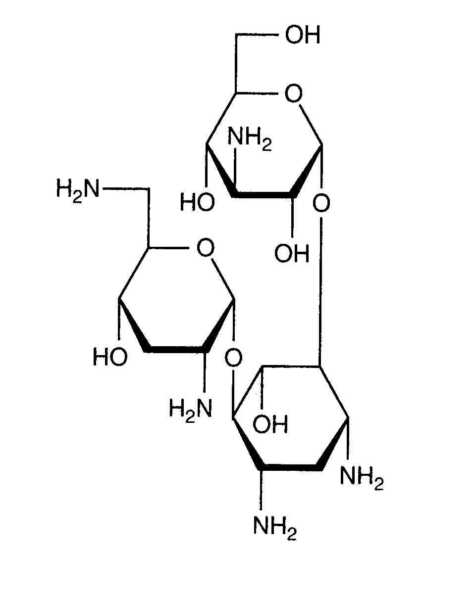
   Estructura química  

Aerosol
La estabilidad de las preparaciones farmacéuticas   Aerosol   La estabilidad de las preparaciones farmacéuticas : Tobramycin sulfate     
Envase Origine Excipiente Temperatura Conservación Duración de la estabilidad Bibliografía
Vidrio Frasco para medicamentos inyectables 2400 mg
Nebcin®
NaCl 0.45% >> 30 ml
25°C No precisada
195 Día
3431
Nivel de evidencia A

Vidrio Frasco para medicamentos inyectables 2400 mg
Nebcin®
NaCl 0.45% >> 30 ml
4°C No precisada
195 Día
3431
Nivel de evidencia A


  Mentions Légales