Τελευταία ενημέρωση :
27/01/2026
Αντιβιοτικό   Tobramycin sulfate  
Αεροζόλ
Ενέσιμο Οφθαλμικές σταγόνες Πόσιμο διάλυμα
Σταθερότητα και συμβατότητα των φαρμάκων Σταθερότητα σε μίγματα Παράγοντας που επηρεάζει τη σταθερότητα Συμβατότητες Βιβλιογραφία pdf
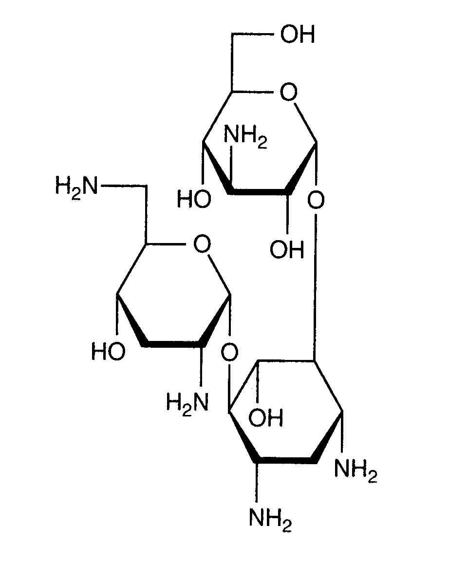
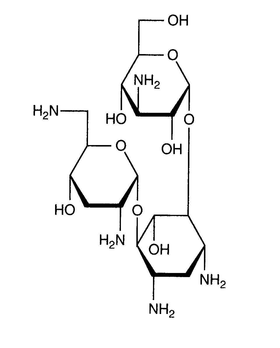
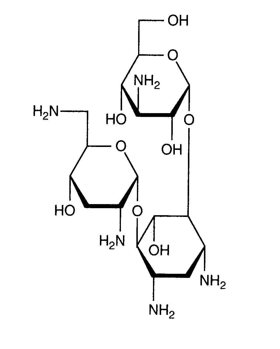
   χημική δομή  

Αεροζόλ
Σταθερότητα και συμβατότητα των φαρμάκων   Αεροζόλ   Σταθερότητα και συμβατότητα των φαρμάκων : Tobramycin sulfate     
Υποδοχέας Origine Έκδοχο Θερμοκρασία Αποθήκευση Διάρκεια σταθερότητας Βιβλιογραφία
Ύαλος Φιαλίδιο φαρμάκου για ένεση 2400 mg
Nebcin®
NaCl 0.45% >> 30 ml
25°C Απροσδιόριστο
195 Ημέρα
3431
Επίπεδο των αποδεικτικών στοιχείων A

Ύαλος Φιαλίδιο φαρμάκου για ένεση 2400 mg
Nebcin®
NaCl 0.45% >> 30 ml
4°C Απροσδιόριστο
195 Ημέρα
3431
Επίπεδο των αποδεικτικών στοιχείων A


  Mentions Légales