Последнее обновление :
27/01/2026
Антибиотик   Tobramycin sulfate  
Аэрозоль
Глазные капли Инъекция Раствор для перорального приёма
Стабильность фармацевтических препаратов Стабильность смесей Факторы, которые влияют на стабильность Совместимость Библиография pdf
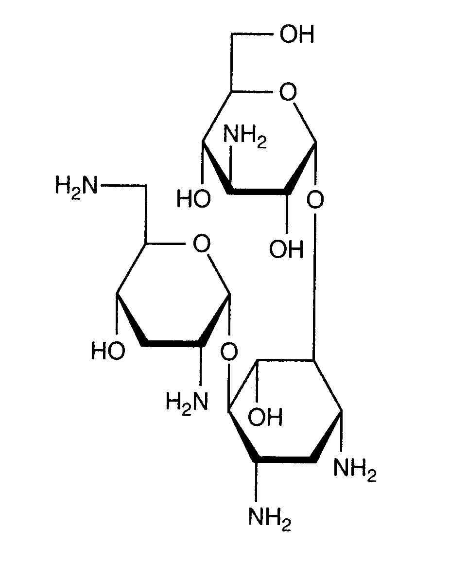
   Химическая структура  

Аэрозоль
Стабильность фармацевтических препаратов   Аэрозоль   Стабильность фармацевтических препаратов : Tobramycin sulfate     
Упаковка Origine Наполнитель Температура Хранение Продолжительность стабильности Ссылки
Стекло Медицинская бутылка для инъекций 2400 mg
Nebcin®
Хлорид натрия 0,45% >> 30 ml
25°C Не указано
195 День
3431
Уровень доказательности A

Стекло Медицинская бутылка для инъекций 2400 mg
Nebcin®
Хлорид натрия 0,45% >> 30 ml
4°C Не указано
195 День
3431
Уровень доказательности A


  Mentions Légales