Останнє оновлення :
27/04/2026
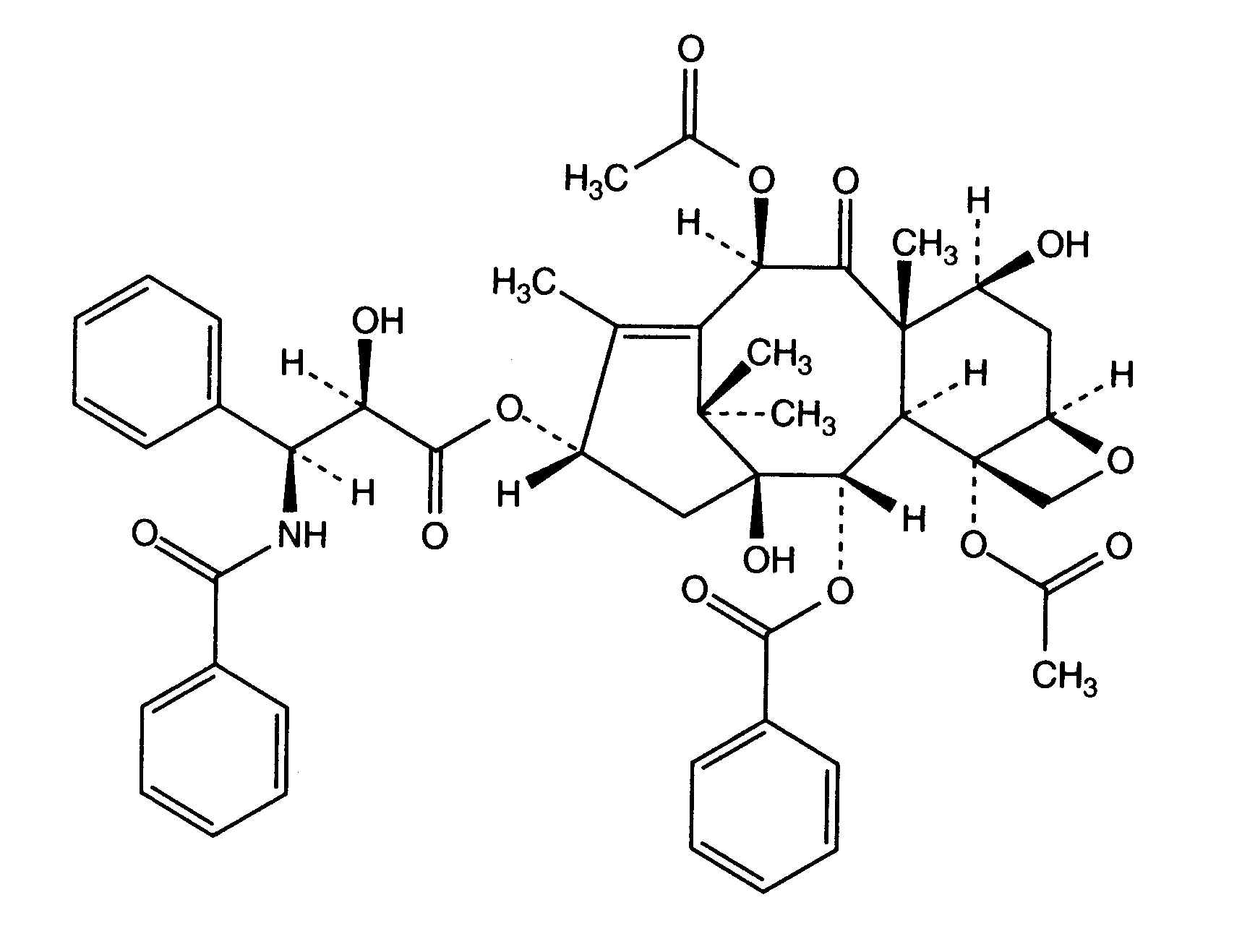
Протипухлинний препарат   Paclitaxel  
ін'єкція
Стійкість в розчинах Стійкість сумішей Фактори, що впливають на стабільність Сумісність Шлях введення Список літератури pdf
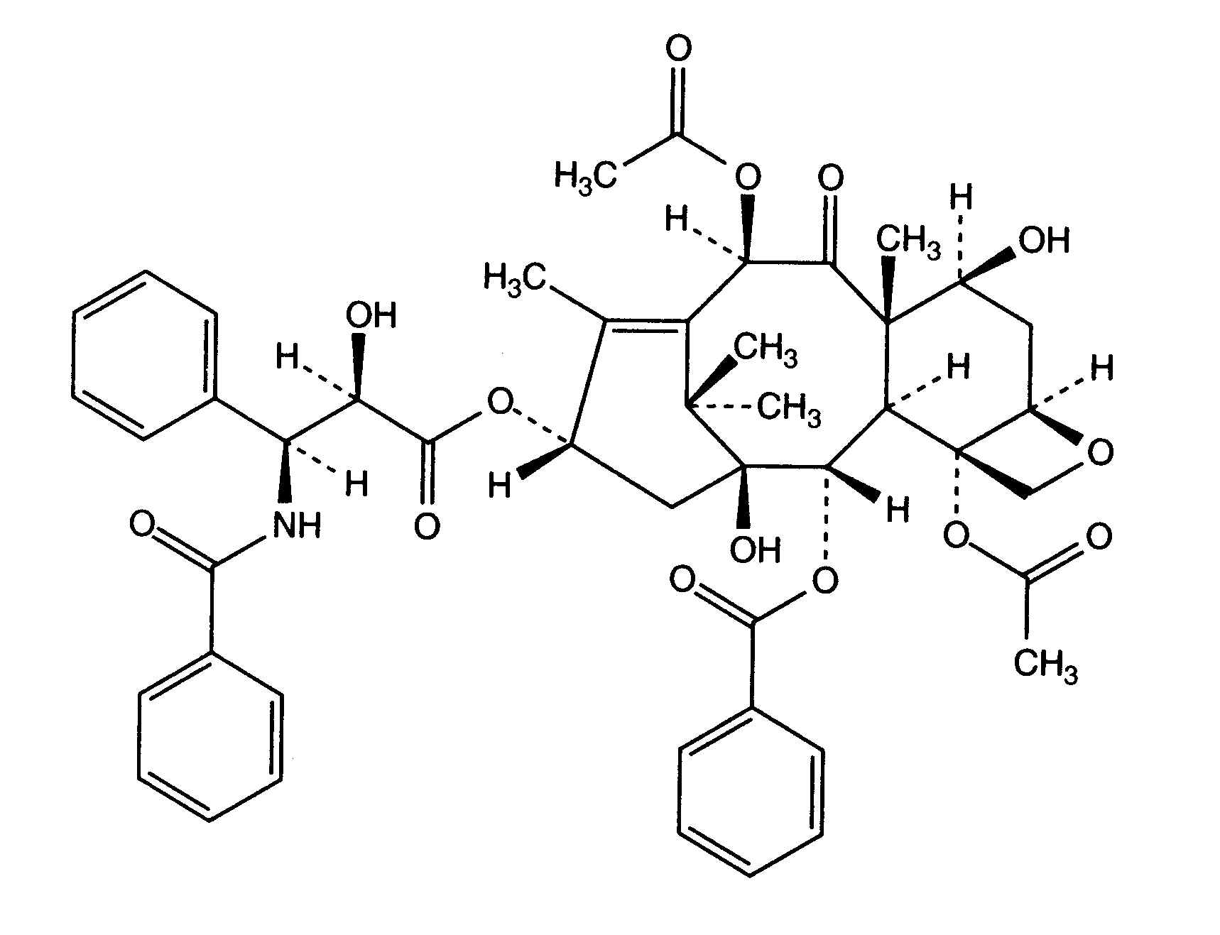
   Хімічна структура  

Торгова назва   Торгова назва     

Торгові назви є орієнтовними, а склад допоміжних речовин може бути різним залежно від країни та виробника

Aclipak Малайзія
Acoexcel Мексика
Acupaxil Марокко
Anzatax Єгипет, Іран, Малайзія, Марокко, Нова Зеландія, Об'єднані Арабські Емірати, Перу, Саудівська Аравія, Туніс, Туреччина
Aritaxel Німеччина
Cantaxel Індія
Clitaxel Аргентина, Венесуела
Dalys Аргентина
Ebetaxel Іран, Австрія, Марокко, Саудівська Аравія, Туніс, Туреччина
Genexol Єгипет, Індія, Іран
Onxol Сполучені Штати Америки
Paclinova Аргентина
Paclitaxin Бразилія, Люксембург, Малайзія, Словенія
Parexel Бразилія, Венесуела, Еквадор, Колумбія
Paxene Ірландія, Іспанія, Греція, Данія, Нідерланди, Польща
Poltaxel Польща
Ribotax Німеччина
Taxol Єгипет, Іран, Італія, Австрія, Бразилія, Венесуела, Греція, Данія, Колумбія, Малайзія, Марокко, Нідерланди, Нова Зеландія, Об'єднані Арабські Емірати, Перу, Польща, Португалія, Словенія, Туреччина, Швейцарія, Швеція, Японія
Taxomedac Німеччина
Vitax Бразилія, Перу, Туреччина
Стійкість в розчинах   ін'єкція   Стійкість в розчинах : Paclitaxel     
Контейнер Розчинник Концентрація температура Зберігання Тривалість стабільності Список літератури
скло Натрію хлорид 0,9% 0.3 mg/ml 2-8°C Берегти від світла
13 День
2172
Рівень доказовості А+

скло Натрію хлорид 0,9% 0.3 mg/ml 25°C Берегти від світла
3 День
2172
Рівень доказовості А+

скло Натрію хлорид 0,9% 1,2 mg/ml 30°C Берегти від світла
4 День
173
Рівень доказовості А

скло Натрію хлорид 0,9% 1.2 mg/ml 2-8°C Берегти від світла
8 День
2172
Рівень доказовості А+

скло Натрію хлорид 0,9% 1.2 mg/ml 25°C Берегти від світла
5 День
2172
Рівень доказовості А+

скло Глюкоза 5% 0,4 & 1,2 mg/ml 20°C-25°C світло
5 День
1865
Рівень доказовості B

скло Глюкоза 5% 0.3 mg/ml 2-8°C Берегти від світла
20 День
2172
Рівень доказовості А+

скло Глюкоза 5% 0.3 & 1.2 mg/ml 25°C Берегти від світла
7 День
2172
Рівень доказовості А+

скло Глюкоза 5% 1,2 mg/ml 30°C Берегти від світла
4 День
173
Рівень доказовості А

скло Глюкоза 5% 1.2 mg/ml 2-8°C Берегти від світла
8 День
2172
Рівень доказовості А+

Поліетилен Натрію хлорид 0,9% 0.3 mg/ml 2-8°C Берегти від світла
13 День
2172
Рівень доказовості А+

Поліетилен Натрію хлорид 0,9% 0.3 & 1.2 mg/ml 25°C Берегти від світла
3 День
2172
Рівень доказовості А+

Поліетилен Натрію хлорид 0,9% 1.2 mg/ml 2-8°C Берегти від світла
9 День
2172
Рівень доказовості А+

Поліетилен Глюкоза 5% 0,4 & 1,2 mg/ml 20°C-25°C Зі світлом чи без
5 День
1865
Рівень доказовості B

Поліетилен Глюкоза 5% 0,4 & 1,2 mg/ml 25°C Зі світлом чи без
5 День
1520
Дані виробника про стабільність

Поліетилен Глюкоза 5% 0,4 & 1,2 mg/ml 4°C Не визначено
5 День
1520
Дані виробника про стабільність

Поліетилен Глюкоза 5% 0,4 & 1,2 mg/ml 4°C Берегти від світла
5 День
1865
Рівень доказовості B

Поліетилен Глюкоза 5% 0.3 mg/ml 2-8°C Берегти від світла
13 День
2172
Рівень доказовості А+

Поліетилен Глюкоза 5% 0.3 & 1.2 mg/ml 25°C Берегти від світла
3 День
2172
Рівень доказовості А+

Поліетилен Глюкоза 5% 1.2 mg/ml 2-8°C Берегти від світла
10 День
2172
Рівень доказовості А+

Поліолефін Натрію хлорид 0,9% 0,1 & 1 mg/ml 22°C Не визначено
3 День
157
Рівень доказовості А+

Поліолефін Натрію хлорид 0,9% 0,1 & 1 mg/ml 32°C Не визначено
3 День
157
Рівень доказовості А+

Поліолефін Натрію хлорид 0,9% 0,1 & 1 mg/ml 4°C Берегти від світла
3 День
157
Рівень доказовості А+

Поліолефін Натрію хлорид 0,9% 0,3 mg/ml 5°C Берегти від світла
28 День
2174
Рівень доказовості А+

Поліолефін Натрію хлорид 0,9% 0,3 & 0,75 mg/ml 25°C Берегти від світла
6 День
2174
Рівень доказовості А+

Поліолефін Натрію хлорид 0,9% 0,3 & 1,2 mg/ml 20°C-23°C світло
48 годину
669
Рівень доказовості А

Поліолефін Натрію хлорид 0,9% 0,3 & 1,2 mg/ml 25°C Берегти від світла
72 годину
1522
Дані виробника про стабільність

Поліолефін Натрію хлорид 0,9% 0,3 &1,2 mg/ml 4°C Берегти від світла
72 годину
2014
Рівень доказовості C

Поліолефін Натрію хлорид 0,9% 0,3 >>1,2 mg/ml 30°C Берегти від світла
4 День
173
Рівень доказовості А

Поліолефін Натрію хлорид 0,9% 0,6 mg/ml 20°C-23°C Не визначено
25 годину
412
Рівень доказовості А

Поліолефін Натрію хлорид 0,9% 0,75 mg/ml 5°C Берегти від світла
16 День
2174
Рівень доказовості А+

Поліолефін Натрію хлорид 0,9% 0.3 > 1.2 mg/ml 25°C світло
72 годину
1956
Дані виробника про стабільність

Поліолефін Натрію хлорид 0,9% 0.3 > 1.2 mg/ml 5°C Берегти від світла
28 День
1956
Дані виробника про стабільність

Поліолефін Натрію хлорид 0,9% 1,2 mg/ml 20°C-23°C Не визначено
25 годину
412
Рівень доказовості А

Поліолефін Натрію хлорид 0,9% 1,2 mg/ml 25°C Берегти від світла
4 День
2174
Рівень доказовості А+

Поліолефін Натрію хлорид 0,9% 1,2 mg/ml 5°C Берегти від світла
12 День
2174
Рівень доказовості А+

Поліолефін Глюкоза 5% 0,1 & 1 mg/ml 22°C Не визначено
3 День
157
Рівень доказовості А+

Поліолефін Глюкоза 5% 0,1 & 1 mg/ml 32°C Не визначено
3 День
157
Рівень доказовості А+

Поліолефін Глюкоза 5% 0,1 & 1 mg/ml 4°C Берегти від світла
3 День
157
Рівень доказовості А+

Поліолефін Глюкоза 5% 0,3 mg/ml 25°C Берегти від світла
8 День
2174
Рівень доказовості А+

Поліолефін Глюкоза 5% 0,3 mg/ml 5°C Берегти від світла
28 День
2174
Рівень доказовості А+

Поліолефін Глюкоза 5% 0,3 & 1,2 mg/ml 20°C-23°C світло
48 годину
669
Рівень доказовості А

Поліолефін Глюкоза 5% 0,3 & 1,2 mg/ml 25°C Берегти від світла
72 годину
1522
Дані виробника про стабільність

Поліолефін Глюкоза 5% 0,3 &1,2 mg/ml 4°C Берегти від світла
72 годину
2014
Рівень доказовості C

Поліолефін Глюкоза 5% 0,3 >>1,2 mg/ml 30°C Берегти від світла
4 День
173
Рівень доказовості А

Поліолефін Глюкоза 5% 0,6 mg/ml 20°C-23°C Не визначено
25 годину
412
Рівень доказовості А

Поліолефін Глюкоза 5% 0,75 mg/ml 25°C Берегти від світла
4 День
2174
Рівень доказовості А+

Поліолефін Глюкоза 5% 0,75 mg/ml 5°C Берегти від світла
16 День
2174
Рівень доказовості А+

Поліолефін Глюкоза 5% 0.3 > 1.2 mg/ml 25°C світло
72 годину
1956
Дані виробника про стабільність

Поліолефін Глюкоза 5% 0.3 > 1.2 mg/ml 5°C Берегти від світла
14 День
1956
Дані виробника про стабільність

Поліолефін Глюкоза 5% 1,2 mg/ml 20°C-23°C Не визначено
12 годину
412
Рівень доказовості А

Поліолефін Глюкоза 5% 1,2 mg/ml 25°C Берегти від світла
4 День
2174
Рівень доказовості А+

Поліолефін Глюкоза 5% 1,2 mg/ml 5°C Берегти від світла
12 День
2174
Рівень доказовості А+


  Mentions Légales