آخر تحديث :
27/04/2026
المضادة للسرطان المخدرات   Paclitaxel  
حقن
الاستقرار في حلول استقرار مخاليط العوامل التي تؤثر على الاستقرار التوافق طريقة التعاطي مراجع pdf
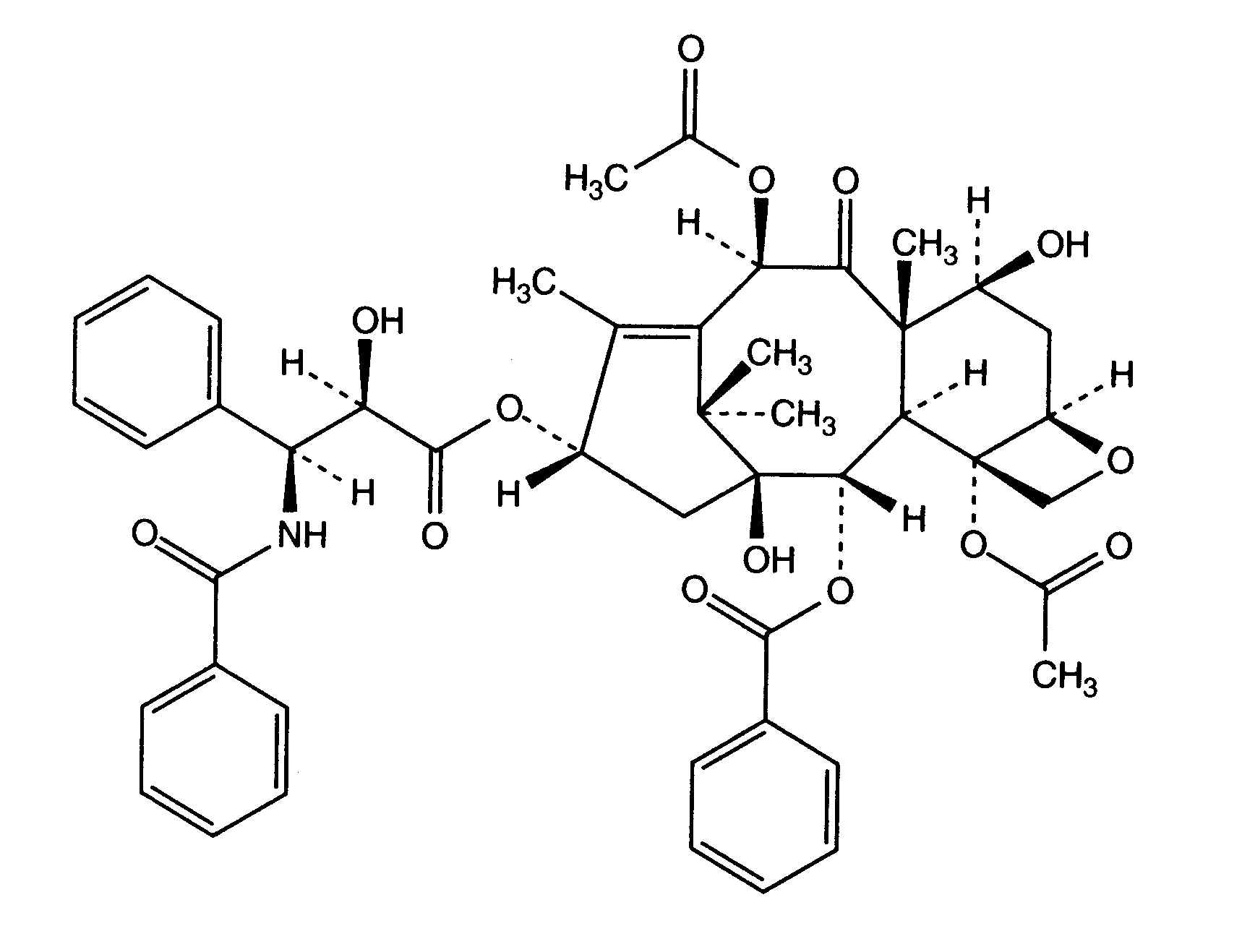
   التركيب الكيميائي  

حجز الاسم التجاري   حجز الاسم التجاري     

تحذير الأسماء التجاريه المختلفه قد تحتوي علي محتوي إضافات مختلفة حسب الدوله و المعمل

Aclipak ماليزيا
Acoexcel المكسيك
Acupaxil المغرب
Anzatax إيران, الإمارات العربية المتحدة, العربية السعودية, المغرب, بيرو, تركيا, تونس, زيلاندا الجديدة, ماليزيا, مصر
Aritaxel ألمانيا
Cantaxel الهند
Clitaxel الأرجنتين, فنزويلا
Dalys الأرجنتين
Ebetaxel إيران, العربية السعودية, المغرب, النمسا, تركيا, تونس
Genexol إيران, الهند, مصر
Onxol الولايات المتحدة
Paclinova الأرجنتين
Paclitaxin البرازيل, سلوفينيا, لوكسمبورغ, ماليزيا
Parexel الإكوادور, البرازيل, فنزويلا, كولومبيا
Paxene إسبانيا, الدنمارك, ايرلندا, بولندا, هولندا, يونان
Poltaxel بولندا
Ribotax ألمانيا
Taxol إيران, إيطاليا, الإمارات العربية المتحدة, البرازيل, البرتغال, الدنمارك, السويد, المغرب, النمسا, اليابان, بولندا, بيرو, تركيا, زيلاندا الجديدة, سلوفينيا, سويسرا, فنزويلا, كولومبيا, ماليزيا, مصر, هولندا, يونان
Taxomedac ألمانيا
Vitax البرازيل, بيرو, تركيا
الاستقرار في حلول   حقن   الاستقرار في حلول : Paclitaxel     
حاوية مذيب تركيز درجة الحرارة تخزين مدة الاستقرار مراجع
زجاج كلوريد الصوديوم 0.9% 0.3 mg/ml 2-8°C بعيدا عن الضوء
13 يوم
2172
 A+ مستوى الأدلة

زجاج كلوريد الصوديوم 0.9% 0.3 mg/ml 25°C بعيدا عن الضوء
3 يوم
2172
 A+ مستوى الأدلة

زجاج كلوريد الصوديوم 0.9% 1,2 mg/ml 30°C بعيدا عن الضوء
4 يوم
173
A مستوى الأدلة

زجاج كلوريد الصوديوم 0.9% 1.2 mg/ml 2-8°C بعيدا عن الضوء
8 يوم
2172
 A+ مستوى الأدلة

زجاج كلوريد الصوديوم 0.9% 1.2 mg/ml 25°C بعيدا عن الضوء
5 يوم
2172
 A+ مستوى الأدلة

زجاج الجلوكوز %5 0,4 & 1,2 mg/ml 20°C-25°C ضوء
5 يوم
1865
B مستوى الأدلة

زجاج الجلوكوز %5 0.3 mg/ml 2-8°C بعيدا عن الضوء
20 يوم
2172
 A+ مستوى الأدلة

زجاج الجلوكوز %5 0.3 & 1.2 mg/ml 25°C بعيدا عن الضوء
7 يوم
2172
 A+ مستوى الأدلة

زجاج الجلوكوز %5 1,2 mg/ml 30°C بعيدا عن الضوء
4 يوم
173
A مستوى الأدلة

زجاج الجلوكوز %5 1.2 mg/ml 2-8°C بعيدا عن الضوء
8 يوم
2172
 A+ مستوى الأدلة

البولي ايثيلين كلوريد الصوديوم 0.9% 0.3 mg/ml 2-8°C بعيدا عن الضوء
13 يوم
2172
 A+ مستوى الأدلة

البولي ايثيلين كلوريد الصوديوم 0.9% 0.3 & 1.2 mg/ml 25°C بعيدا عن الضوء
3 يوم
2172
 A+ مستوى الأدلة

البولي ايثيلين كلوريد الصوديوم 0.9% 1.2 mg/ml 2-8°C بعيدا عن الضوء
9 يوم
2172
 A+ مستوى الأدلة

البولي ايثيلين الجلوكوز %5 0,4 & 1,2 mg/ml 20°C-25°C مع أو بدون ضوء
5 يوم
1865
B مستوى الأدلة

البولي ايثيلين الجلوكوز %5 0,4 & 1,2 mg/ml 25°C مع أو بدون ضوء
5 يوم
1520
بيانات الشركة المصنعة \\ \'ق الاستقرار

البولي ايثيلين الجلوكوز %5 0,4 & 1,2 mg/ml 4°C لم يتم تحديد
5 يوم
1520
بيانات الشركة المصنعة \\ \'ق الاستقرار

البولي ايثيلين الجلوكوز %5 0,4 & 1,2 mg/ml 4°C بعيدا عن الضوء
5 يوم
1865
B مستوى الأدلة

البولي ايثيلين الجلوكوز %5 0.3 mg/ml 2-8°C بعيدا عن الضوء
13 يوم
2172
 A+ مستوى الأدلة

البولي ايثيلين الجلوكوز %5 0.3 & 1.2 mg/ml 25°C بعيدا عن الضوء
3 يوم
2172
 A+ مستوى الأدلة

البولي ايثيلين الجلوكوز %5 1.2 mg/ml 2-8°C بعيدا عن الضوء
10 يوم
2172
 A+ مستوى الأدلة

البولي فين كلوريد الصوديوم 0.9% 0,1 & 1 mg/ml 22°C لم يتم تحديد
3 يوم
157
 A+ مستوى الأدلة

البولي فين كلوريد الصوديوم 0.9% 0,1 & 1 mg/ml 32°C لم يتم تحديد
3 يوم
157
 A+ مستوى الأدلة

البولي فين كلوريد الصوديوم 0.9% 0,1 & 1 mg/ml 4°C بعيدا عن الضوء
3 يوم
157
 A+ مستوى الأدلة

البولي فين كلوريد الصوديوم 0.9% 0,3 mg/ml 5°C بعيدا عن الضوء
28 يوم
2174
 A+ مستوى الأدلة

البولي فين كلوريد الصوديوم 0.9% 0,3 & 0,75 mg/ml 25°C بعيدا عن الضوء
6 يوم
2174
 A+ مستوى الأدلة

البولي فين كلوريد الصوديوم 0.9% 0,3 & 1,2 mg/ml 20°C-23°C ضوء
48 ساعة
669
A مستوى الأدلة

البولي فين كلوريد الصوديوم 0.9% 0,3 & 1,2 mg/ml 25°C بعيدا عن الضوء
72 ساعة
1522
بيانات الشركة المصنعة \\ \'ق الاستقرار

البولي فين كلوريد الصوديوم 0.9% 0,3 &1,2 mg/ml 4°C بعيدا عن الضوء
72 ساعة
2014
C مستوى الأدلة

البولي فين كلوريد الصوديوم 0.9% 0,3 >>1,2 mg/ml 30°C بعيدا عن الضوء
4 يوم
173
A مستوى الأدلة

البولي فين كلوريد الصوديوم 0.9% 0,6 mg/ml 20°C-23°C لم يتم تحديد
25 ساعة
412
A مستوى الأدلة

البولي فين كلوريد الصوديوم 0.9% 0,75 mg/ml 5°C بعيدا عن الضوء
16 يوم
2174
 A+ مستوى الأدلة

البولي فين كلوريد الصوديوم 0.9% 0.3 > 1.2 mg/ml 25°C ضوء
72 ساعة
1956
بيانات الشركة المصنعة \\ \'ق الاستقرار

البولي فين كلوريد الصوديوم 0.9% 0.3 > 1.2 mg/ml 5°C بعيدا عن الضوء
28 يوم
1956
بيانات الشركة المصنعة \\ \'ق الاستقرار

البولي فين كلوريد الصوديوم 0.9% 1,2 mg/ml 20°C-23°C لم يتم تحديد
25 ساعة
412
A مستوى الأدلة

البولي فين كلوريد الصوديوم 0.9% 1,2 mg/ml 25°C بعيدا عن الضوء
4 يوم
2174
 A+ مستوى الأدلة

البولي فين كلوريد الصوديوم 0.9% 1,2 mg/ml 5°C بعيدا عن الضوء
12 يوم
2174
 A+ مستوى الأدلة

البولي فين الجلوكوز %5 0,1 & 1 mg/ml 22°C لم يتم تحديد
3 يوم
157
 A+ مستوى الأدلة

البولي فين الجلوكوز %5 0,1 & 1 mg/ml 32°C لم يتم تحديد
3 يوم
157
 A+ مستوى الأدلة

البولي فين الجلوكوز %5 0,1 & 1 mg/ml 4°C بعيدا عن الضوء
3 يوم
157
 A+ مستوى الأدلة

البولي فين الجلوكوز %5 0,3 mg/ml 25°C بعيدا عن الضوء
8 يوم
2174
 A+ مستوى الأدلة

البولي فين الجلوكوز %5 0,3 mg/ml 5°C بعيدا عن الضوء
28 يوم
2174
 A+ مستوى الأدلة

البولي فين الجلوكوز %5 0,3 & 1,2 mg/ml 20°C-23°C ضوء
48 ساعة
669
A مستوى الأدلة

البولي فين الجلوكوز %5 0,3 & 1,2 mg/ml 25°C بعيدا عن الضوء
72 ساعة
1522
بيانات الشركة المصنعة \\ \'ق الاستقرار

البولي فين الجلوكوز %5 0,3 &1,2 mg/ml 4°C بعيدا عن الضوء
72 ساعة
2014
C مستوى الأدلة

البولي فين الجلوكوز %5 0,3 >>1,2 mg/ml 30°C بعيدا عن الضوء
4 يوم
173
A مستوى الأدلة

البولي فين الجلوكوز %5 0,6 mg/ml 20°C-23°C لم يتم تحديد
25 ساعة
412
A مستوى الأدلة

البولي فين الجلوكوز %5 0,75 mg/ml 25°C بعيدا عن الضوء
4 يوم
2174
 A+ مستوى الأدلة

البولي فين الجلوكوز %5 0,75 mg/ml 5°C بعيدا عن الضوء
16 يوم
2174
 A+ مستوى الأدلة

البولي فين الجلوكوز %5 0.3 > 1.2 mg/ml 25°C ضوء
72 ساعة
1956
بيانات الشركة المصنعة \\ \'ق الاستقرار

البولي فين الجلوكوز %5 0.3 > 1.2 mg/ml 5°C بعيدا عن الضوء
14 يوم
1956
بيانات الشركة المصنعة \\ \'ق الاستقرار

البولي فين الجلوكوز %5 1,2 mg/ml 20°C-23°C لم يتم تحديد
12 ساعة
412
A مستوى الأدلة

البولي فين الجلوكوز %5 1,2 mg/ml 25°C بعيدا عن الضوء
4 يوم
2174
 A+ مستوى الأدلة

البولي فين الجلوكوز %5 1,2 mg/ml 5°C بعيدا عن الضوء
12 يوم
2174
 A+ مستوى الأدلة


  Mentions Légales