Dernière mise à jour :
27/04/2026
Anticancéreux   Paclitaxel  
injectable
Stabilité des solutions Stabilité en mélange Facteur influençant la stabilité Compatibilités Voie d’administration Bibliographie pdf
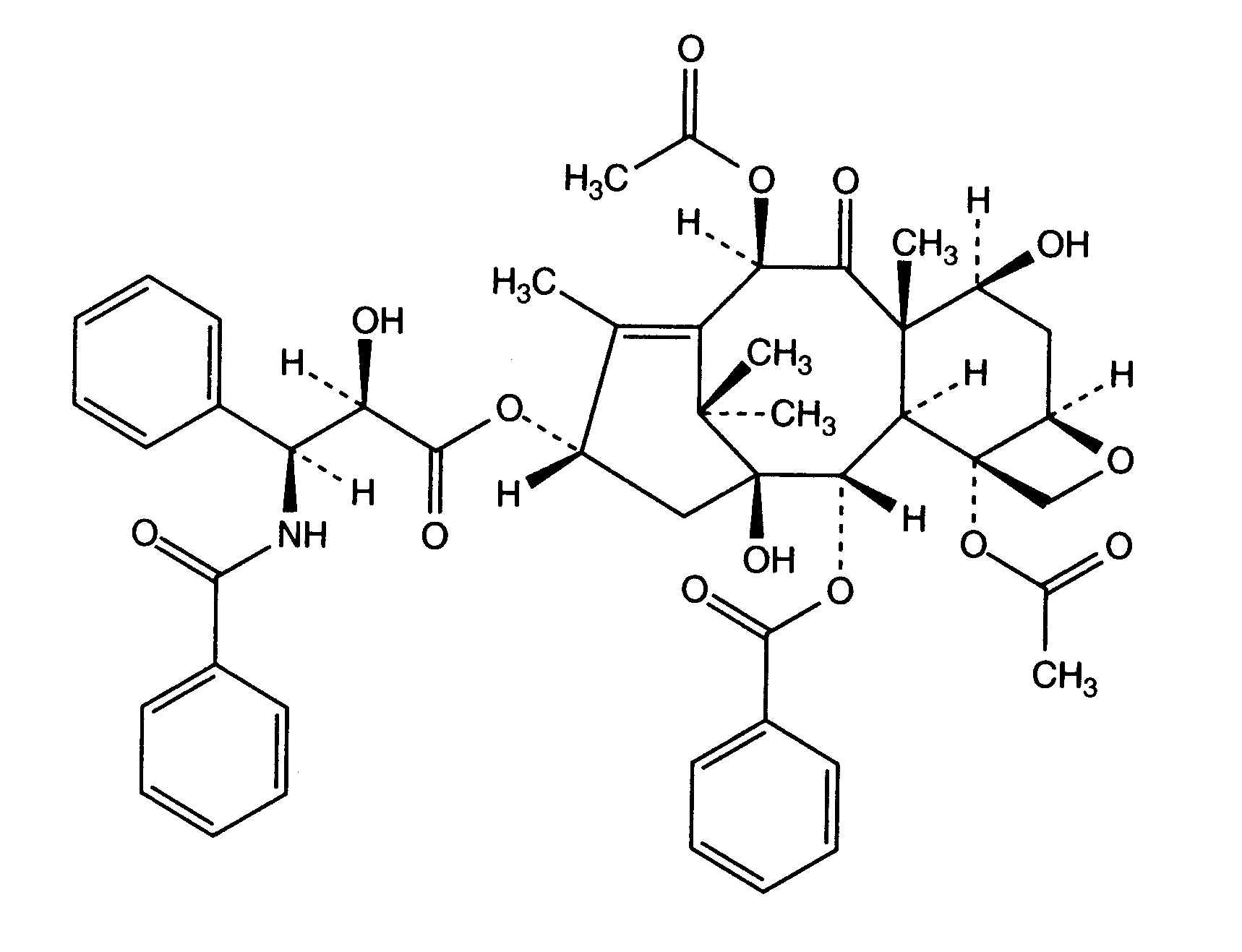
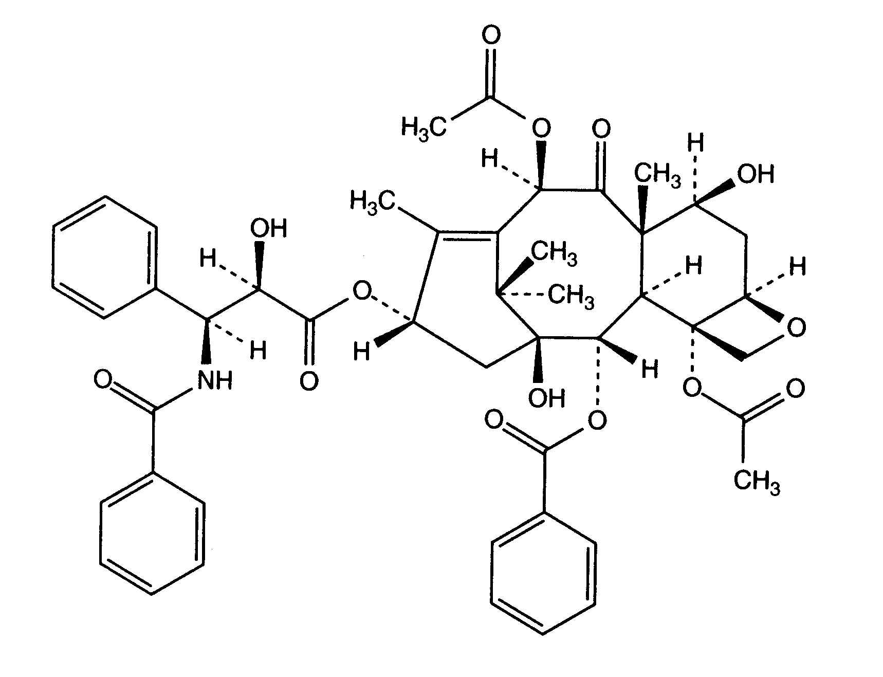
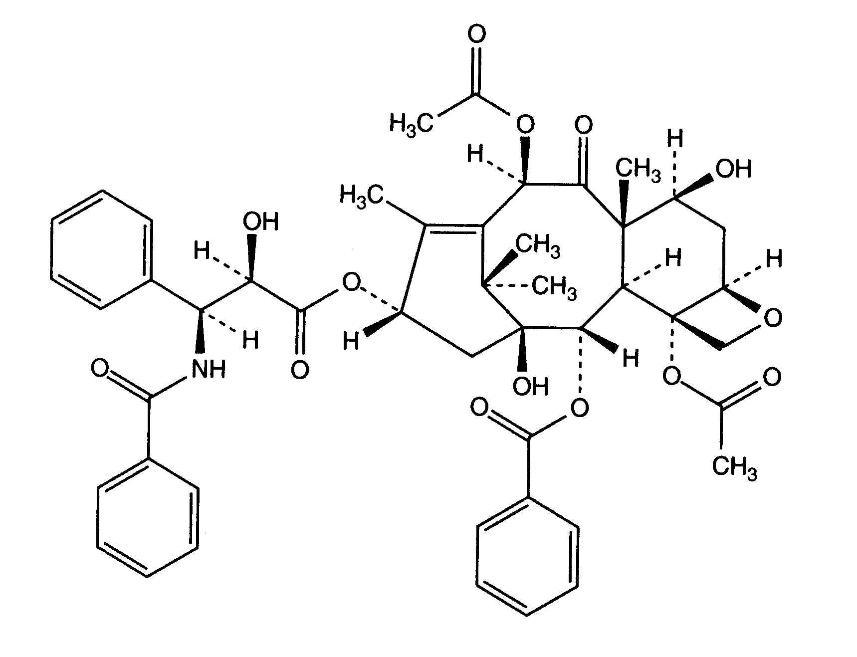
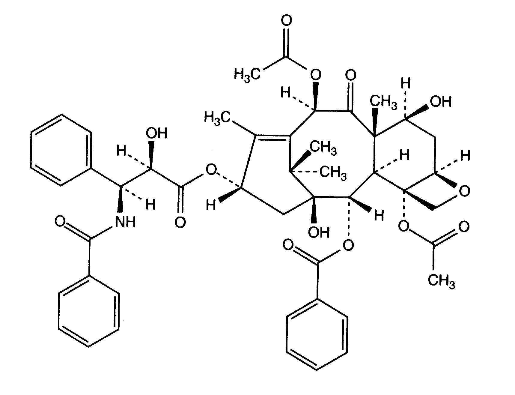
   Structure chimique  

Noms commerciaux   Noms commerciaux     

Les noms commerciaux sont donnés à titre indicatif et la composition en excipients peut être différente selon les pays et selon les laboratoires

Aclipak Malaisie
Acoexcel Mexique
Acupaxil Maroc
Anzatax Arabie Saoudite, Egypte, Emirats Arabes Unis , Iran, Malaisie, Maroc, Nouvelle Zélande, Pérou, Tunisie, Turquie
Aritaxel Allemagne
Cantaxel Inde
Clitaxel Argentine, Vénézuela
Dalys Argentine
Ebetaxel Arabie Saoudite, Autriche, Iran, Maroc, Tunisie, Turquie
Genexol Egypte, Inde, Iran
Onxol Etats Unis d’Amérique
Paclinova Argentine
Paclitaxin Brésil, Luxembourg, Malaisie, Slovénie
Parexel Brésil, Colombie, Equateur, Vénézuela
Paxene Danemark, Espagne, Grèce, Irlande, Pays bas, Pologne
Poltaxel Pologne
Ribotax Allemagne
Taxol Autriche, Brésil, Colombie, Danemark, Egypte, Emirats Arabes Unis , Grèce, Iran, Italie, Japon, Malaisie, Maroc, Nouvelle Zélande, Pays bas, Pérou, Pologne, Portugal, Slovénie, Suède, Suisse, Turquie, Vénézuela
Taxomedac Allemagne
Vitax Brésil, Pérou, Turquie
Stabilité des solutions   injectable   Stabilité des solutions : Paclitaxel     
Contenant Solvant Concentration Température Conservation Durée de stabilité Bibliographie
Verre Chlorure de sodium 0,9% 0.3 mg/ml 2-8°C A l’abri de la lumière
13 Jour
2172
Niveau de preuve A +

Verre Chlorure de sodium 0,9% 0.3 mg/ml 25°C A l’abri de la lumière
3 Jour
2172
Niveau de preuve A +

Verre Chlorure de sodium 0,9% 1,2 mg/ml 30°C A l’abri de la lumière
4 Jour
173
Niveau de preuve A

Verre Chlorure de sodium 0,9% 1.2 mg/ml 2-8°C A l’abri de la lumière
8 Jour
2172
Niveau de preuve A +

Verre Chlorure de sodium 0,9% 1.2 mg/ml 25°C A l’abri de la lumière
5 Jour
2172
Niveau de preuve A +

Verre Glucose 5% 0,4 & 1,2 mg/ml 20°C-25°C Lumière
5 Jour
1865
Niveau de preuve B

Verre Glucose 5% 0.3 mg/ml 2-8°C A l’abri de la lumière
20 Jour
2172
Niveau de preuve A +

Verre Glucose 5% 0.3 & 1.2 mg/ml 25°C A l’abri de la lumière
7 Jour
2172
Niveau de preuve A +

Verre Glucose 5% 1,2 mg/ml 30°C A l’abri de la lumière
4 Jour
173
Niveau de preuve A

Verre Glucose 5% 1.2 mg/ml 2-8°C A l’abri de la lumière
8 Jour
2172
Niveau de preuve A +

Polyéthylène Chlorure de sodium 0,9% 0.3 mg/ml 2-8°C A l’abri de la lumière
13 Jour
2172
Niveau de preuve A +

Polyéthylène Chlorure de sodium 0,9% 0.3 & 1.2 mg/ml 25°C A l’abri de la lumière
3 Jour
2172
Niveau de preuve A +

Polyéthylène Chlorure de sodium 0,9% 1.2 mg/ml 2-8°C A l’abri de la lumière
9 Jour
2172
Niveau de preuve A +

Polyéthylène Glucose 5% 0,4 & 1,2 mg/ml 20°C-25°C Avec ou sans lumière
5 Jour
1865
Niveau de preuve B

Polyéthylène Glucose 5% 0,4 & 1,2 mg/ml 25°C Avec ou sans lumière
5 Jour
1520
Données de stabilité du fabricant

Polyéthylène Glucose 5% 0,4 & 1,2 mg/ml 4°C Non précisée
5 Jour
1520
Données de stabilité du fabricant

Polyéthylène Glucose 5% 0,4 & 1,2 mg/ml 4°C A l’abri de la lumière
5 Jour
1865
Niveau de preuve B

Polyéthylène Glucose 5% 0.3 mg/ml 2-8°C A l’abri de la lumière
13 Jour
2172
Niveau de preuve A +

Polyéthylène Glucose 5% 0.3 & 1.2 mg/ml 25°C A l’abri de la lumière
3 Jour
2172
Niveau de preuve A +

Polyéthylène Glucose 5% 1.2 mg/ml 2-8°C A l’abri de la lumière
10 Jour
2172
Niveau de preuve A +

Polyolefine Chlorure de sodium 0,9% 0,1 & 1 mg/ml 22°C Non précisée
3 Jour
157
Niveau de preuve A +

Polyolefine Chlorure de sodium 0,9% 0,1 & 1 mg/ml 32°C Non précisée
3 Jour
157
Niveau de preuve A +

Polyolefine Chlorure de sodium 0,9% 0,1 & 1 mg/ml 4°C A l’abri de la lumière
3 Jour
157
Niveau de preuve A +

Polyolefine Chlorure de sodium 0,9% 0,3 mg/ml 5°C A l’abri de la lumière
28 Jour
2174
Niveau de preuve A +

Polyolefine Chlorure de sodium 0,9% 0,3 & 0,75 mg/ml 25°C A l’abri de la lumière
6 Jour
2174
Niveau de preuve A +

Polyolefine Chlorure de sodium 0,9% 0,3 & 1,2 mg/ml 20°C-23°C Lumière
48 Heure
669
Niveau de preuve A

Polyolefine Chlorure de sodium 0,9% 0,3 & 1,2 mg/ml 25°C A l’abri de la lumière
72 Heure
1522
Données de stabilité du fabricant

Polyolefine Chlorure de sodium 0,9% 0,3 &1,2 mg/ml 4°C A l’abri de la lumière
72 Heure
2014
Niveau de preuve C

Polyolefine Chlorure de sodium 0,9% 0,3 >>1,2 mg/ml 30°C A l’abri de la lumière
4 Jour
173
Niveau de preuve A

Polyolefine Chlorure de sodium 0,9% 0,6 mg/ml 20°C-23°C Non précisée
25 Heure
412
Niveau de preuve A

Polyolefine Chlorure de sodium 0,9% 0,75 mg/ml 5°C A l’abri de la lumière
16 Jour
2174
Niveau de preuve A +

Polyolefine Chlorure de sodium 0,9% 0.3 > 1.2 mg/ml 25°C Lumière
72 Heure
1956
Données de stabilité du fabricant

Polyolefine Chlorure de sodium 0,9% 0.3 > 1.2 mg/ml 5°C A l’abri de la lumière
28 Jour
1956
Données de stabilité du fabricant

Polyolefine Chlorure de sodium 0,9% 1,2 mg/ml 20°C-23°C Non précisée
25 Heure
412
Niveau de preuve A

Polyolefine Chlorure de sodium 0,9% 1,2 mg/ml 25°C A l’abri de la lumière
4 Jour
2174
Niveau de preuve A +

Polyolefine Chlorure de sodium 0,9% 1,2 mg/ml 5°C A l’abri de la lumière
12 Jour
2174
Niveau de preuve A +

Polyolefine Glucose 5% 0,1 & 1 mg/ml 22°C Non précisée
3 Jour
157
Niveau de preuve A +

Polyolefine Glucose 5% 0,1 & 1 mg/ml 32°C Non précisée
3 Jour
157
Niveau de preuve A +

Polyolefine Glucose 5% 0,1 & 1 mg/ml 4°C A l’abri de la lumière
3 Jour
157
Niveau de preuve A +

Polyolefine Glucose 5% 0,3 mg/ml 25°C A l’abri de la lumière
8 Jour
2174
Niveau de preuve A +

Polyolefine Glucose 5% 0,3 mg/ml 5°C A l’abri de la lumière
28 Jour
2174
Niveau de preuve A +

Polyolefine Glucose 5% 0,3 & 1,2 mg/ml 20°C-23°C Lumière
48 Heure
669
Niveau de preuve A

Polyolefine Glucose 5% 0,3 & 1,2 mg/ml 25°C A l’abri de la lumière
72 Heure
1522
Données de stabilité du fabricant

Polyolefine Glucose 5% 0,3 &1,2 mg/ml 4°C A l’abri de la lumière
72 Heure
2014
Niveau de preuve C

Polyolefine Glucose 5% 0,3 >>1,2 mg/ml 30°C A l’abri de la lumière
4 Jour
173
Niveau de preuve A

Polyolefine Glucose 5% 0,6 mg/ml 20°C-23°C Non précisée
25 Heure
412
Niveau de preuve A

Polyolefine Glucose 5% 0,75 mg/ml 25°C A l’abri de la lumière
4 Jour
2174
Niveau de preuve A +

Polyolefine Glucose 5% 0,75 mg/ml 5°C A l’abri de la lumière
16 Jour
2174
Niveau de preuve A +

Polyolefine Glucose 5% 0.3 > 1.2 mg/ml 25°C Lumière
72 Heure
1956
Données de stabilité du fabricant

Polyolefine Glucose 5% 0.3 > 1.2 mg/ml 5°C A l’abri de la lumière
14 Jour
1956
Données de stabilité du fabricant

Polyolefine Glucose 5% 1,2 mg/ml 20°C-23°C Non précisée
12 Heure
412
Niveau de preuve A

Polyolefine Glucose 5% 1,2 mg/ml 25°C A l’abri de la lumière
4 Jour
2174
Niveau de preuve A +

Polyolefine Glucose 5% 1,2 mg/ml 5°C A l’abri de la lumière
12 Jour
2174
Niveau de preuve A +


  Mentions Légales