Последно актуализиране :
27/04/2026
противораково лекарство   Paclitaxel  
Инжекция/Инжекционен
Стабилност на разтвори Стабилност на смеси Фактори, повлияващи стабилността Съвместимост Път на въвеждане Библиография Pdf
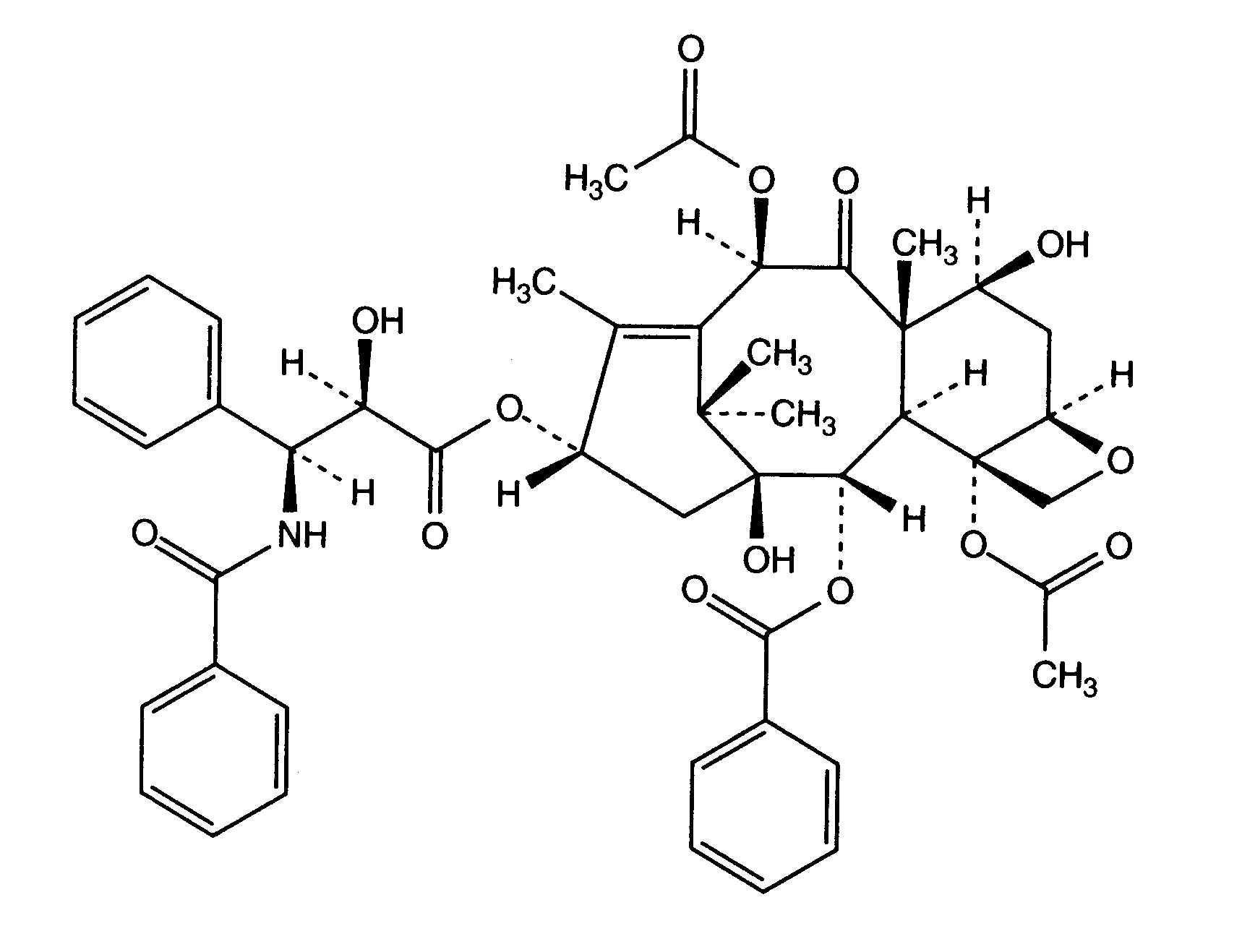
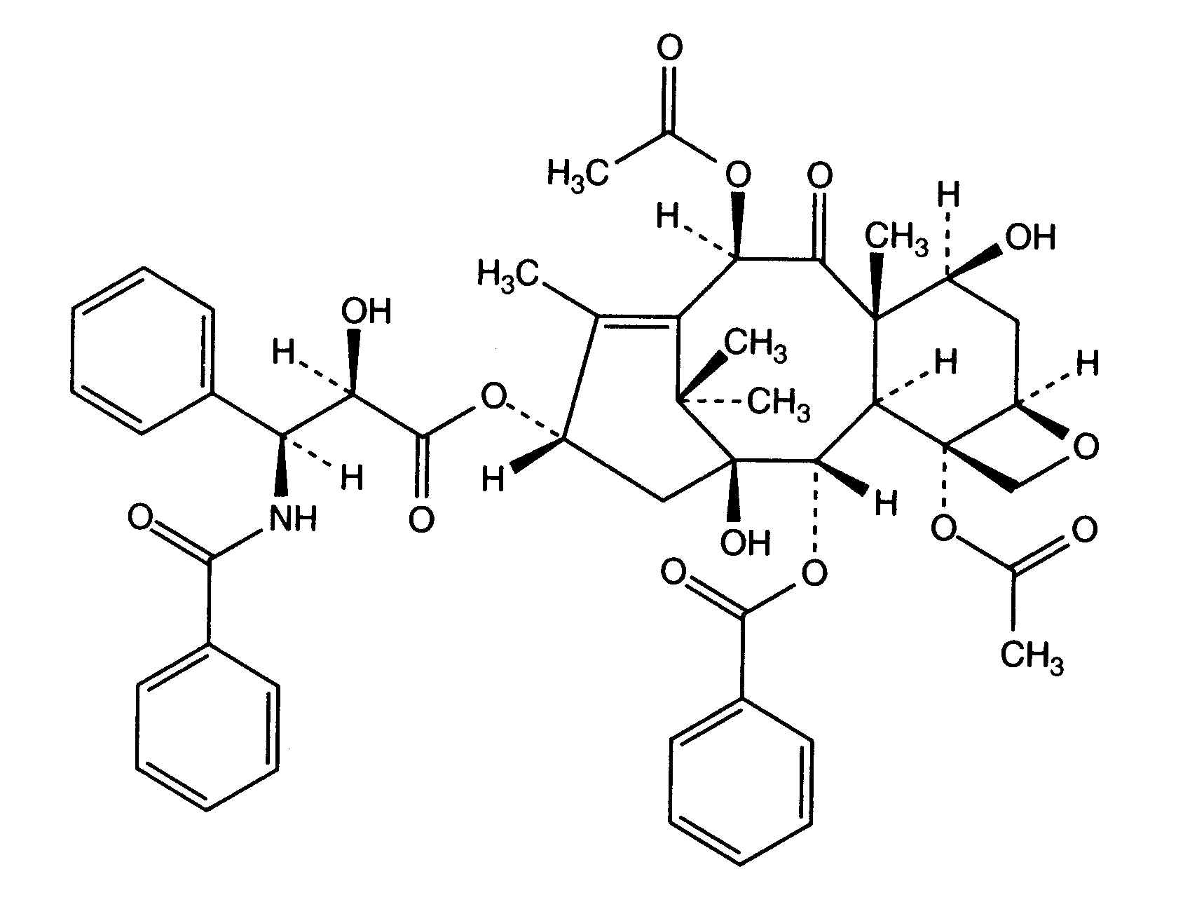
   Химична структура  

Търговско наименование   Търговско наименование     

Търговските имена са примерни и съставът на помощните вещества може да бъде различен в зависимост от държавата и лабораториите

Aclipak Малайзия
Acoexcel Мексико
Acupaxil Мароко
Anzatax Египет, Иран, Малайзия, Мароко, нова Зеландия, Обединени арабски емирства, Перу, Саудитска Арабия, Тунис, Турция
Aritaxel Германия
Cantaxel Индия
Clitaxel Аржентина, Венецуела
Dalys Аржентина
Ebetaxel Австрия, Иран, Мароко, Саудитска Арабия, Тунис, Турция
Genexol Египет, Индия, Иран
Onxol Съединени Американски щати / САЩ
Paclinova Аржентина
Paclitaxin Бразилия, Люксенбург, Малайзия, Словения
Parexel Бразилия, Венецуела, Еквадор, Колумбия
Paxene Гърция, Дания, Ирландия, Испания, Полша, Холандия
Poltaxel Полша
Ribotax Германия
Taxol Австрия, Бразилия, Венецуела, Гърция, Дания, Египет, Иран, Италия, Колумбия, Малайзия, Мароко, нова Зеландия, Обединени арабски емирства, Перу, Полша, Португалия, Словения, Турция, Холандия, Швейцария, Швеция, Япония
Taxomedac Германия
Vitax Бразилия, Перу, Турция
Стабилност на разтвори   Инжекция/Инжекционен   Стабилност на разтвори : Paclitaxel     
Контейнер Разтворител Концентрация Температура Съхранение Продължителност на стабилността Библиография
Стъкло Sodium chloride 0,9% 0.3 mg/ml 2-8°C Защита от светлина
13 Ден
2172
Степен на доказаност A+

Стъкло Sodium chloride 0,9% 0.3 mg/ml 25°C Защита от светлина
3 Ден
2172
Степен на доказаност A+

Стъкло Sodium chloride 0,9% 1,2 mg/ml 30°C Защита от светлина
4 Ден
173
Степен на доказаност A

Стъкло Sodium chloride 0,9% 1.2 mg/ml 2-8°C Защита от светлина
8 Ден
2172
Степен на доказаност A+

Стъкло Sodium chloride 0,9% 1.2 mg/ml 25°C Защита от светлина
5 Ден
2172
Степен на доказаност A+

Стъкло Glucose 5% 0,4 & 1,2 mg/ml 20°C-25°C Светлина
5 Ден
1865
Степен на доказаност B

Стъкло Glucose 5% 0.3 mg/ml 2-8°C Защита от светлина
20 Ден
2172
Степен на доказаност A+

Стъкло Glucose 5% 0.3 & 1.2 mg/ml 25°C Защита от светлина
7 Ден
2172
Степен на доказаност A+

Стъкло Glucose 5% 1,2 mg/ml 30°C Защита от светлина
4 Ден
173
Степен на доказаност A

Стъкло Glucose 5% 1.2 mg/ml 2-8°C Защита от светлина
8 Ден
2172
Степен на доказаност A+

Полиетилен Sodium chloride 0,9% 0.3 mg/ml 2-8°C Защита от светлина
13 Ден
2172
Степен на доказаност A+

Полиетилен Sodium chloride 0,9% 0.3 & 1.2 mg/ml 25°C Защита от светлина
3 Ден
2172
Степен на доказаност A+

Полиетилен Sodium chloride 0,9% 1.2 mg/ml 2-8°C Защита от светлина
9 Ден
2172
Степен на доказаност A+

Полиетилен Glucose 5% 0,4 & 1,2 mg/ml 20°C-25°C С или без светлина
5 Ден
1865
Степен на доказаност B

Полиетилен Glucose 5% 0,4 & 1,2 mg/ml 25°C С или без светлина
5 Ден
1520
Данни за стабилност на производителя

Полиетилен Glucose 5% 0,4 & 1,2 mg/ml 4°C Не е уточнено
5 Ден
1520
Данни за стабилност на производителя

Полиетилен Glucose 5% 0,4 & 1,2 mg/ml 4°C Защита от светлина
5 Ден
1865
Степен на доказаност B

Полиетилен Glucose 5% 0.3 mg/ml 2-8°C Защита от светлина
13 Ден
2172
Степен на доказаност A+

Полиетилен Glucose 5% 0.3 & 1.2 mg/ml 25°C Защита от светлина
3 Ден
2172
Степен на доказаност A+

Полиетилен Glucose 5% 1.2 mg/ml 2-8°C Защита от светлина
10 Ден
2172
Степен на доказаност A+

Полиолефин Sodium chloride 0,9% 0,1 & 1 mg/ml 22°C Не е уточнено
3 Ден
157
Степен на доказаност A+

Полиолефин Sodium chloride 0,9% 0,1 & 1 mg/ml 32°C Не е уточнено
3 Ден
157
Степен на доказаност A+

Полиолефин Sodium chloride 0,9% 0,1 & 1 mg/ml 4°C Защита от светлина
3 Ден
157
Степен на доказаност A+

Полиолефин Sodium chloride 0,9% 0,3 mg/ml 5°C Защита от светлина
28 Ден
2174
Степен на доказаност A+

Полиолефин Sodium chloride 0,9% 0,3 & 0,75 mg/ml 25°C Защита от светлина
6 Ден
2174
Степен на доказаност A+

Полиолефин Sodium chloride 0,9% 0,3 & 1,2 mg/ml 20°C-23°C Светлина
48 Час
669
Степен на доказаност A

Полиолефин Sodium chloride 0,9% 0,3 & 1,2 mg/ml 25°C Защита от светлина
72 Час
1522
Данни за стабилност на производителя

Полиолефин Sodium chloride 0,9% 0,3 &1,2 mg/ml 4°C Защита от светлина
72 Час
2014
Степен на доказаност C

Полиолефин Sodium chloride 0,9% 0,3 >>1,2 mg/ml 30°C Защита от светлина
4 Ден
173
Степен на доказаност A

Полиолефин Sodium chloride 0,9% 0,6 mg/ml 20°C-23°C Не е уточнено
25 Час
412
Степен на доказаност A

Полиолефин Sodium chloride 0,9% 0,75 mg/ml 5°C Защита от светлина
16 Ден
2174
Степен на доказаност A+

Полиолефин Sodium chloride 0,9% 0.3 > 1.2 mg/ml 25°C Светлина
72 Час
1956
Данни за стабилност на производителя

Полиолефин Sodium chloride 0,9% 0.3 > 1.2 mg/ml 5°C Защита от светлина
28 Ден
1956
Данни за стабилност на производителя

Полиолефин Sodium chloride 0,9% 1,2 mg/ml 20°C-23°C Не е уточнено
25 Час
412
Степен на доказаност A

Полиолефин Sodium chloride 0,9% 1,2 mg/ml 25°C Защита от светлина
4 Ден
2174
Степен на доказаност A+

Полиолефин Sodium chloride 0,9% 1,2 mg/ml 5°C Защита от светлина
12 Ден
2174
Степен на доказаност A+

Полиолефин Glucose 5% 0,1 & 1 mg/ml 22°C Не е уточнено
3 Ден
157
Степен на доказаност A+

Полиолефин Glucose 5% 0,1 & 1 mg/ml 32°C Не е уточнено
3 Ден
157
Степен на доказаност A+

Полиолефин Glucose 5% 0,1 & 1 mg/ml 4°C Защита от светлина
3 Ден
157
Степен на доказаност A+

Полиолефин Glucose 5% 0,3 mg/ml 25°C Защита от светлина
8 Ден
2174
Степен на доказаност A+

Полиолефин Glucose 5% 0,3 mg/ml 5°C Защита от светлина
28 Ден
2174
Степен на доказаност A+

Полиолефин Glucose 5% 0,3 & 1,2 mg/ml 20°C-23°C Светлина
48 Час
669
Степен на доказаност A

Полиолефин Glucose 5% 0,3 & 1,2 mg/ml 25°C Защита от светлина
72 Час
1522
Данни за стабилност на производителя

Полиолефин Glucose 5% 0,3 &1,2 mg/ml 4°C Защита от светлина
72 Час
2014
Степен на доказаност C

Полиолефин Glucose 5% 0,3 >>1,2 mg/ml 30°C Защита от светлина
4 Ден
173
Степен на доказаност A

Полиолефин Glucose 5% 0,6 mg/ml 20°C-23°C Не е уточнено
25 Час
412
Степен на доказаност A

Полиолефин Glucose 5% 0,75 mg/ml 25°C Защита от светлина
4 Ден
2174
Степен на доказаност A+

Полиолефин Glucose 5% 0,75 mg/ml 5°C Защита от светлина
16 Ден
2174
Степен на доказаност A+

Полиолефин Glucose 5% 0.3 > 1.2 mg/ml 25°C Светлина
72 Час
1956
Данни за стабилност на производителя

Полиолефин Glucose 5% 0.3 > 1.2 mg/ml 5°C Защита от светлина
14 Ден
1956
Данни за стабилност на производителя

Полиолефин Glucose 5% 1,2 mg/ml 20°C-23°C Не е уточнено
12 Час
412
Степен на доказаност A

Полиолефин Glucose 5% 1,2 mg/ml 25°C Защита от светлина
4 Ден
2174
Степен на доказаност A+

Полиолефин Glucose 5% 1,2 mg/ml 5°C Защита от светлина
12 Ден
2174
Степен на доказаност A+


  Mentions Légales