Τελευταία ενημέρωση :
27/01/2026
φάρμακο κατά του καρκίνου   Paclitaxel  
Ενέσιμο
Σταθερότητα διαλυμάτων Σταθερότητα σε μίγματα Παράγοντας που επηρεάζει τη σταθερότητα Συμβατότητες Τρόπος χορήγησης Βιβλιογραφία pdf
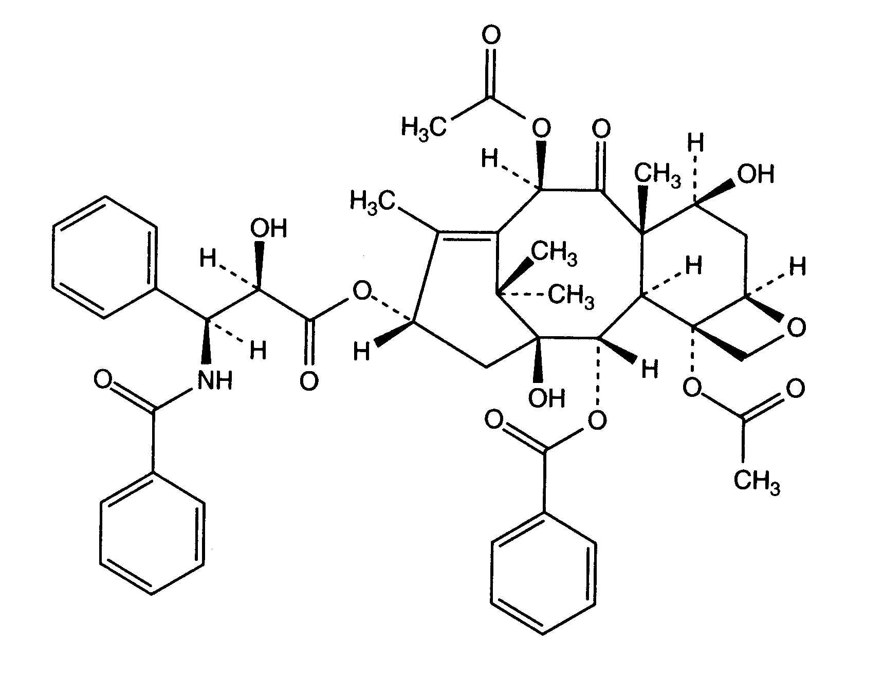
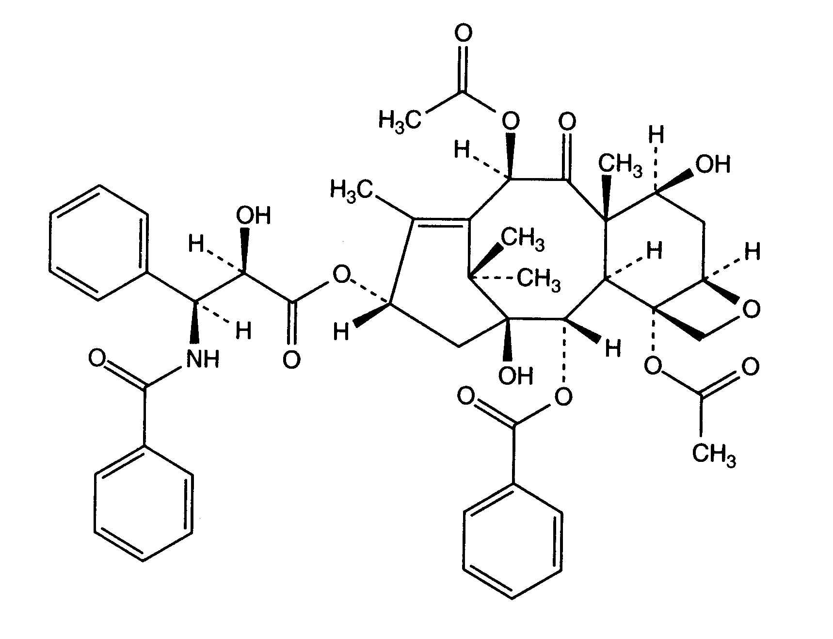
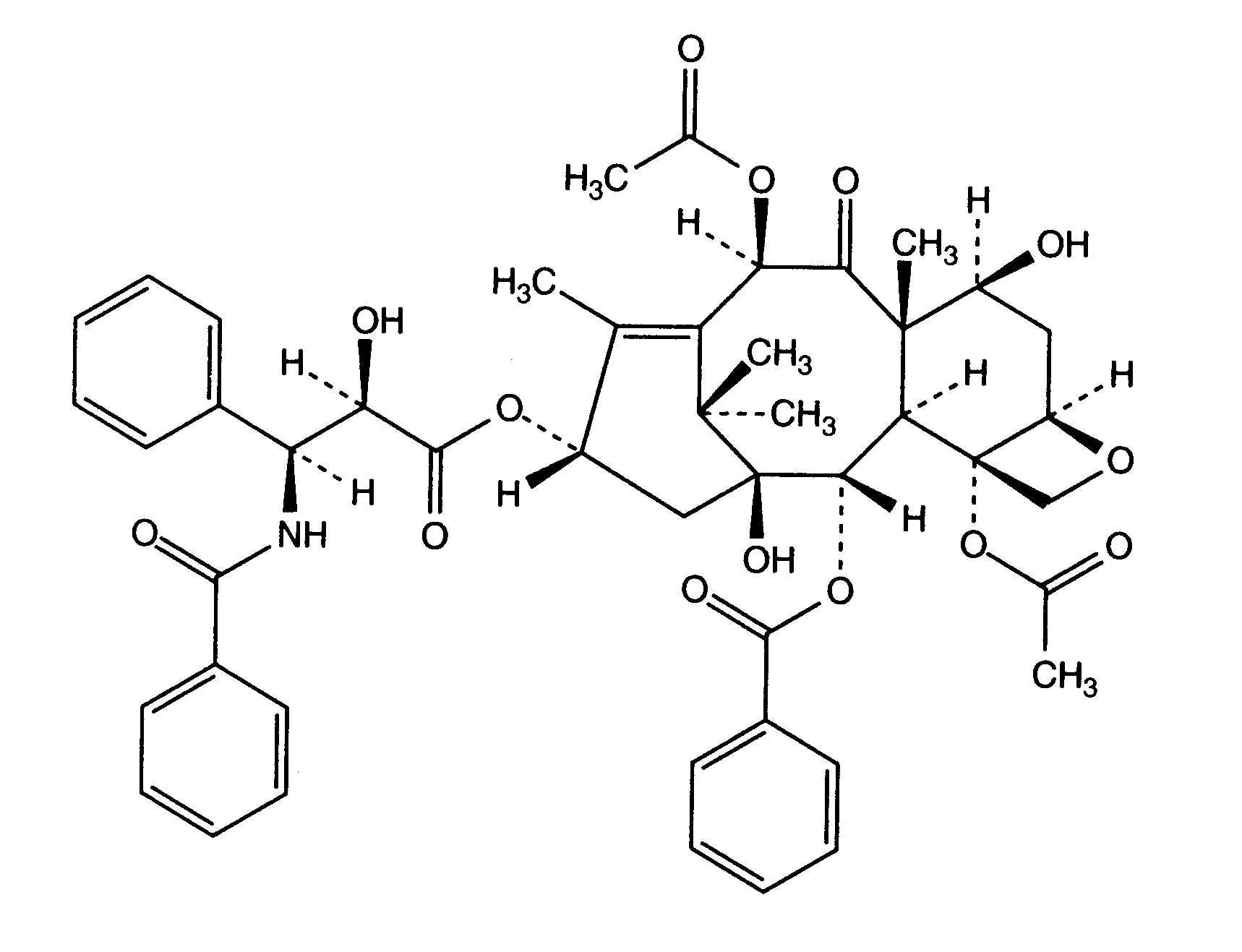
   χημική δομή  

Εμπορική ονομασία   Εμπορική ονομασία     

Οι εμπορικές ονομασίες είναι ενδεικτικές και η σύνθεση των εκδόχων μπορεί να διαφέρει ανάλογα με τη χώρα και τα εργαστήρια

Aclipak Μαλαισία
Acoexcel Μεξικό
Acupaxil Μαρόκο
Anzatax Yhdistyneet arabiemiirikunnat, Αίγυπτος, Ιράν, Μαλαισία, Μαρόκο, νέα Ζηλανδία, Περού, Σαουδική Αραβία, Τουρκία, Τυνησία
Aritaxel Γερμανία
Cantaxel Ινδία
Clitaxel Αργεντινή, Βενεζουέλα
Dalys Αργεντινή
Ebetaxel Αυστρία, Ιράν, Μαρόκο, Σαουδική Αραβία, Τουρκία, Τυνησία
Genexol Αίγυπτος, Ινδία, Ιράν
Onxol Η.Π.Α.
Paclinova Αργεντινή
Paclitaxin Βραζιλία, Λουξεμβούργο, Μαλαισία, Σλοβενία
Parexel Βενεζουέλα, Βραζιλία, Εκουαδόρ, Κολομβία
Paxene Δανία, Ελλάδα, Ιρλανδία, Ισπανία, Ολλανδία, Πολωνία
Poltaxel Πολωνία
Ribotax Γερμανία
Taxol Yhdistyneet arabiemiirikunnat, Αίγυπτος, Αυστρία, Βενεζουέλα, Βραζιλία, Δανία, Ελβετία, Ελλάδα, Ιαπωνία, Ιράν, Ιταλία, Κολομβία, Μαλαισία, Μαρόκο, νέα Ζηλανδία, Ολλανδία, Περού, Πολωνία, Πορτογαλία, Σλοβενία, Σουηδία, Τουρκία
Taxomedac Γερμανία
Vitax Βραζιλία, Περού, Τουρκία
Σταθερότητα διαλυμάτων   Ενέσιμο   Σταθερότητα διαλυμάτων : Paclitaxel     
Υποδοχέας Διαλυτικό Συγκέντρωση Θερμοκρασία Αποθήκευση Διάρκεια σταθερότητας Βιβλιογραφία
Ύαλος Χλωριούχο νάτριο 0,9% 0.3 mg/ml 2-8°C Προστατεύετε από το φως
13 Ημέρα
2172
Επίπεδο των αποδεικτικών στοιχείων A+

Ύαλος Χλωριούχο νάτριο 0,9% 0.3 mg/ml 25°C Προστατεύετε από το φως
3 Ημέρα
2172
Επίπεδο των αποδεικτικών στοιχείων A+

Ύαλος Χλωριούχο νάτριο 0,9% 1,2 mg/ml 30°C Προστατεύετε από το φως
4 Ημέρα
173
Επίπεδο των αποδεικτικών στοιχείων A

Ύαλος Χλωριούχο νάτριο 0,9% 1.2 mg/ml 2-8°C Προστατεύετε από το φως
8 Ημέρα
2172
Επίπεδο των αποδεικτικών στοιχείων A+

Ύαλος Χλωριούχο νάτριο 0,9% 1.2 mg/ml 25°C Προστατεύετε από το φως
5 Ημέρα
2172
Επίπεδο των αποδεικτικών στοιχείων A+

Ύαλος Γλυκόζη 5% 0,4 & 1,2 mg/ml 20°C-25°C Φως
5 Ημέρα
1865
Επίπεδο των αποδεικτικών στοιχείων B

Ύαλος Γλυκόζη 5% 0.3 mg/ml 2-8°C Προστατεύετε από το φως
20 Ημέρα
2172
Επίπεδο των αποδεικτικών στοιχείων A+

Ύαλος Γλυκόζη 5% 0.3 & 1.2 mg/ml 25°C Προστατεύετε από το φως
7 Ημέρα
2172
Επίπεδο των αποδεικτικών στοιχείων A+

Ύαλος Γλυκόζη 5% 1,2 mg/ml 30°C Προστατεύετε από το φως
4 Ημέρα
173
Επίπεδο των αποδεικτικών στοιχείων A

Ύαλος Γλυκόζη 5% 1.2 mg/ml 2-8°C Προστατεύετε από το φως
8 Ημέρα
2172
Επίπεδο των αποδεικτικών στοιχείων A+

Πολυαιθυλένιο Χλωριούχο νάτριο 0,9% 0.3 mg/ml 2-8°C Προστατεύετε από το φως
13 Ημέρα
2172
Επίπεδο των αποδεικτικών στοιχείων A+

Πολυαιθυλένιο Χλωριούχο νάτριο 0,9% 0.3 & 1.2 mg/ml 25°C Προστατεύετε από το φως
3 Ημέρα
2172
Επίπεδο των αποδεικτικών στοιχείων A+

Πολυαιθυλένιο Χλωριούχο νάτριο 0,9% 1.2 mg/ml 2-8°C Προστατεύετε από το φως
9 Ημέρα
2172
Επίπεδο των αποδεικτικών στοιχείων A+

Πολυαιθυλένιο Γλυκόζη 5% 0,4 & 1,2 mg/ml 20°C-25°C Με ή χωρίς φως
5 Ημέρα
1865
Επίπεδο των αποδεικτικών στοιχείων B

Πολυαιθυλένιο Γλυκόζη 5% 0,4 & 1,2 mg/ml 25°C Με ή χωρίς φως
5 Ημέρα
1520
Δεδομένα σταθερότητας του κατασκευαστή/ών

Πολυαιθυλένιο Γλυκόζη 5% 0,4 & 1,2 mg/ml 4°C Απροσδιόριστο
5 Ημέρα
1520
Δεδομένα σταθερότητας του κατασκευαστή/ών

Πολυαιθυλένιο Γλυκόζη 5% 0,4 & 1,2 mg/ml 4°C Προστατεύετε από το φως
5 Ημέρα
1865
Επίπεδο των αποδεικτικών στοιχείων B

Πολυαιθυλένιο Γλυκόζη 5% 0.3 mg/ml 2-8°C Προστατεύετε από το φως
13 Ημέρα
2172
Επίπεδο των αποδεικτικών στοιχείων A+

Πολυαιθυλένιο Γλυκόζη 5% 0.3 & 1.2 mg/ml 25°C Προστατεύετε από το φως
3 Ημέρα
2172
Επίπεδο των αποδεικτικών στοιχείων A+

Πολυαιθυλένιο Γλυκόζη 5% 1.2 mg/ml 2-8°C Προστατεύετε από το φως
10 Ημέρα
2172
Επίπεδο των αποδεικτικών στοιχείων A+

Πολυολεφίνη Χλωριούχο νάτριο 0,9% 0,1 & 1 mg/ml 22°C Απροσδιόριστο
3 Ημέρα
157
Επίπεδο των αποδεικτικών στοιχείων A+

Πολυολεφίνη Χλωριούχο νάτριο 0,9% 0,1 & 1 mg/ml 32°C Απροσδιόριστο
3 Ημέρα
157
Επίπεδο των αποδεικτικών στοιχείων A+

Πολυολεφίνη Χλωριούχο νάτριο 0,9% 0,1 & 1 mg/ml 4°C Προστατεύετε από το φως
3 Ημέρα
157
Επίπεδο των αποδεικτικών στοιχείων A+

Πολυολεφίνη Χλωριούχο νάτριο 0,9% 0,3 mg/ml 5°C Προστατεύετε από το φως
28 Ημέρα
2174
Επίπεδο των αποδεικτικών στοιχείων A+

Πολυολεφίνη Χλωριούχο νάτριο 0,9% 0,3 & 0,75 mg/ml 25°C Προστατεύετε από το φως
6 Ημέρα
2174
Επίπεδο των αποδεικτικών στοιχείων A+

Πολυολεφίνη Χλωριούχο νάτριο 0,9% 0,3 & 1,2 mg/ml 20°C-23°C Φως
48 Ώρα
669
Επίπεδο των αποδεικτικών στοιχείων A

Πολυολεφίνη Χλωριούχο νάτριο 0,9% 0,3 & 1,2 mg/ml 25°C Προστατεύετε από το φως
72 Ώρα
1522
Δεδομένα σταθερότητας του κατασκευαστή/ών

Πολυολεφίνη Χλωριούχο νάτριο 0,9% 0,3 &1,2 mg/ml 4°C Προστατεύετε από το φως
72 Ώρα
2014
Επίπεδο των αποδεικτικών στοιχείων C

Πολυολεφίνη Χλωριούχο νάτριο 0,9% 0,3 >>1,2 mg/ml 30°C Προστατεύετε από το φως
4 Ημέρα
173
Επίπεδο των αποδεικτικών στοιχείων A

Πολυολεφίνη Χλωριούχο νάτριο 0,9% 0,6 mg/ml 20°C-23°C Απροσδιόριστο
25 Ώρα
412
Επίπεδο των αποδεικτικών στοιχείων A

Πολυολεφίνη Χλωριούχο νάτριο 0,9% 0,75 mg/ml 5°C Προστατεύετε από το φως
16 Ημέρα
2174
Επίπεδο των αποδεικτικών στοιχείων A+

Πολυολεφίνη Χλωριούχο νάτριο 0,9% 0.3 > 1.2 mg/ml 25°C Φως
72 Ώρα
1956
Δεδομένα σταθερότητας του κατασκευαστή/ών

Πολυολεφίνη Χλωριούχο νάτριο 0,9% 0.3 > 1.2 mg/ml 5°C Προστατεύετε από το φως
28 Ημέρα
1956
Δεδομένα σταθερότητας του κατασκευαστή/ών

Πολυολεφίνη Χλωριούχο νάτριο 0,9% 1,2 mg/ml 20°C-23°C Απροσδιόριστο
25 Ώρα
412
Επίπεδο των αποδεικτικών στοιχείων A

Πολυολεφίνη Χλωριούχο νάτριο 0,9% 1,2 mg/ml 25°C Προστατεύετε από το φως
4 Ημέρα
2174
Επίπεδο των αποδεικτικών στοιχείων A+

Πολυολεφίνη Χλωριούχο νάτριο 0,9% 1,2 mg/ml 5°C Προστατεύετε από το φως
12 Ημέρα
2174
Επίπεδο των αποδεικτικών στοιχείων A+

Πολυολεφίνη Γλυκόζη 5% 0,1 & 1 mg/ml 22°C Απροσδιόριστο
3 Ημέρα
157
Επίπεδο των αποδεικτικών στοιχείων A+

Πολυολεφίνη Γλυκόζη 5% 0,1 & 1 mg/ml 32°C Απροσδιόριστο
3 Ημέρα
157
Επίπεδο των αποδεικτικών στοιχείων A+

Πολυολεφίνη Γλυκόζη 5% 0,1 & 1 mg/ml 4°C Προστατεύετε από το φως
3 Ημέρα
157
Επίπεδο των αποδεικτικών στοιχείων A+

Πολυολεφίνη Γλυκόζη 5% 0,3 mg/ml 25°C Προστατεύετε από το φως
8 Ημέρα
2174
Επίπεδο των αποδεικτικών στοιχείων A+

Πολυολεφίνη Γλυκόζη 5% 0,3 mg/ml 5°C Προστατεύετε από το φως
28 Ημέρα
2174
Επίπεδο των αποδεικτικών στοιχείων A+

Πολυολεφίνη Γλυκόζη 5% 0,3 & 1,2 mg/ml 20°C-23°C Φως
48 Ώρα
669
Επίπεδο των αποδεικτικών στοιχείων A

Πολυολεφίνη Γλυκόζη 5% 0,3 & 1,2 mg/ml 25°C Προστατεύετε από το φως
72 Ώρα
1522
Δεδομένα σταθερότητας του κατασκευαστή/ών

Πολυολεφίνη Γλυκόζη 5% 0,3 &1,2 mg/ml 4°C Προστατεύετε από το φως
72 Ώρα
2014
Επίπεδο των αποδεικτικών στοιχείων C

Πολυολεφίνη Γλυκόζη 5% 0,3 >>1,2 mg/ml 30°C Προστατεύετε από το φως
4 Ημέρα
173
Επίπεδο των αποδεικτικών στοιχείων A

Πολυολεφίνη Γλυκόζη 5% 0,6 mg/ml 20°C-23°C Απροσδιόριστο
25 Ώρα
412
Επίπεδο των αποδεικτικών στοιχείων A

Πολυολεφίνη Γλυκόζη 5% 0,75 mg/ml 25°C Προστατεύετε από το φως
4 Ημέρα
2174
Επίπεδο των αποδεικτικών στοιχείων A+

Πολυολεφίνη Γλυκόζη 5% 0,75 mg/ml 5°C Προστατεύετε από το φως
16 Ημέρα
2174
Επίπεδο των αποδεικτικών στοιχείων A+

Πολυολεφίνη Γλυκόζη 5% 0.3 > 1.2 mg/ml 25°C Φως
72 Ώρα
1956
Δεδομένα σταθερότητας του κατασκευαστή/ών

Πολυολεφίνη Γλυκόζη 5% 0.3 > 1.2 mg/ml 5°C Προστατεύετε από το φως
14 Ημέρα
1956
Δεδομένα σταθερότητας του κατασκευαστή/ών

Πολυολεφίνη Γλυκόζη 5% 1,2 mg/ml 20°C-23°C Απροσδιόριστο
12 Ώρα
412
Επίπεδο των αποδεικτικών στοιχείων A

Πολυολεφίνη Γλυκόζη 5% 1,2 mg/ml 25°C Προστατεύετε από το φως
4 Ημέρα
2174
Επίπεδο των αποδεικτικών στοιχείων A+

Πολυολεφίνη Γλυκόζη 5% 1,2 mg/ml 5°C Προστατεύετε από το φως
12 Ημέρα
2174
Επίπεδο των αποδεικτικών στοιχείων A+


  Mentions Légales