Zadnji put ažurirano :
27/04/2026
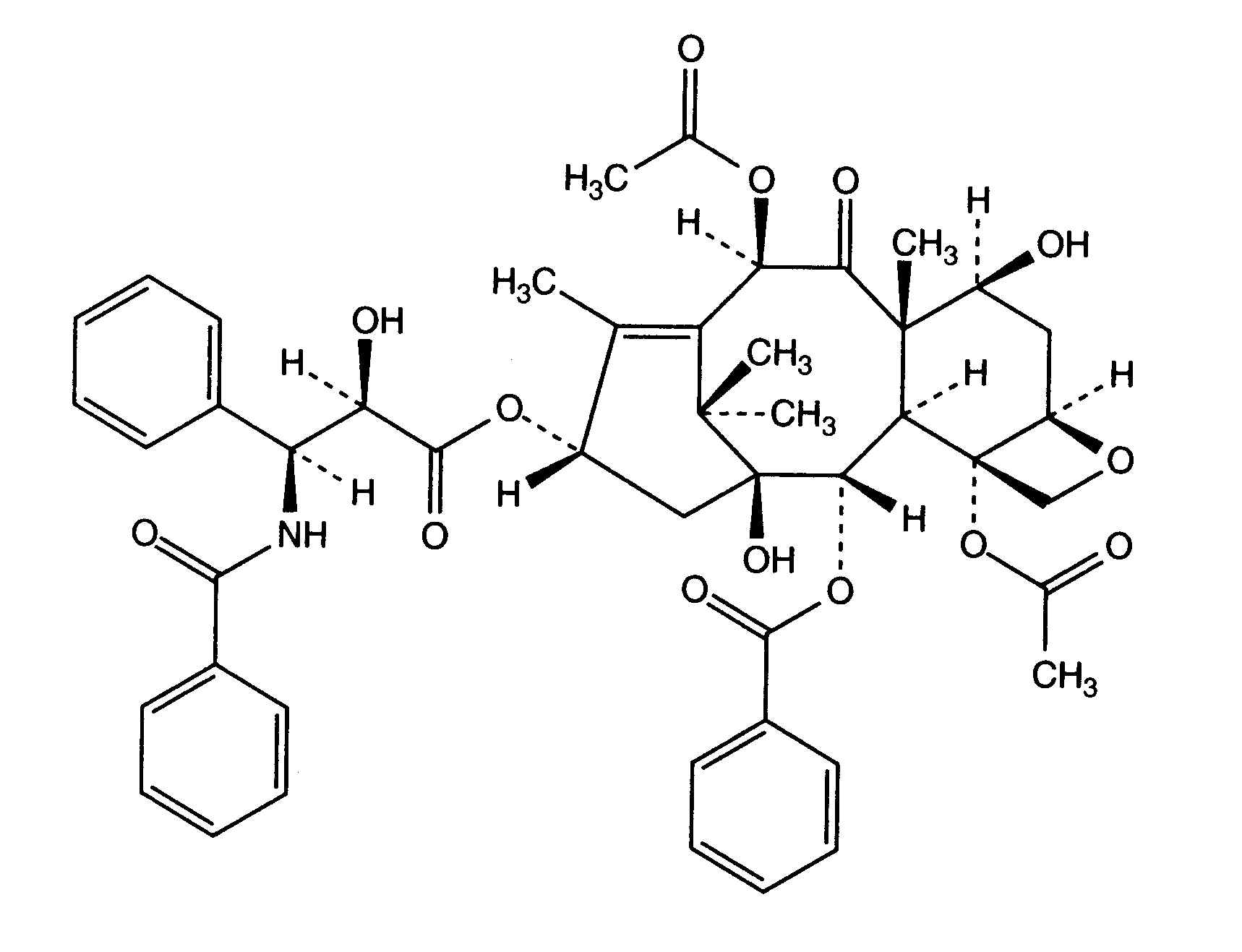
lijek protiv karcinoma   Paclitaxel  
injekcija
Stabilizacija rješenja Stabilnost mješavine Stabilizacijski faktor Kompatibilnosti način davanja lijeka Bibliografija pdf
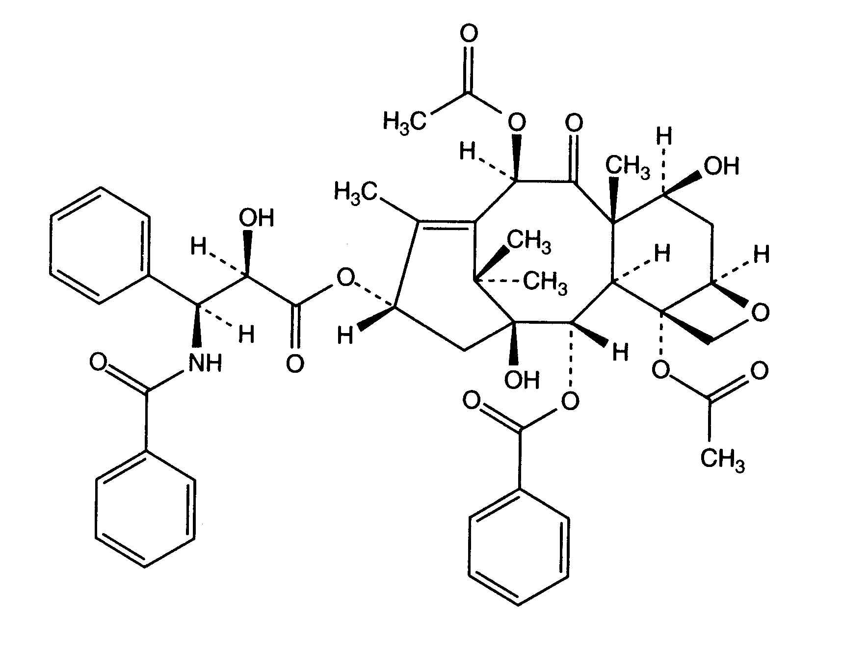
   Kemijska struktura  

Nekomercijalni   Nekomercijalni     

Zaštićeni nazivi su indikativni i sastav ekscipijensa može biti različit ovisno o državi i laboratorijima

Aclipak Malezija
Acoexcel Meksiko
Acupaxil Maroko
Anzatax Egipat, Iran, Malezija, Maroko, novi Zeland, Peru, Saudijska Arabija, Tunis, Turska, Ujedinjeni Arapski Emirati
Aritaxel Njemačka
Cantaxel Indija
Clitaxel Argentina, Venecuela
Dalys Argentina
Ebetaxel Austrija, Iran, Maroko, Saudijska Arabija, Tunis, Turska
Genexol Indija, Egipat, Iran
Onxol S A D
Paclinova Argentina
Paclitaxin Brazil, Luksemburg, Malezija, Slovenija
Parexel Brazil, Ekvador, Kolumbija, Venecuela
Paxene Danska, Grčka, Irska, Nizozemska, Poljska, Španjolska
Poltaxel Poljska
Ribotax Njemačka
Taxol Austrija, Brazil, Danska, Egipat, Grčka, Iran, Italija, Japan, Kolumbija, Malezija, Maroko, Nizozemska, novi Zeland, Peru, Poljska, Portugal, Slovenija, Švedska, Švicarska, Turska, Ujedinjeni Arapski Emirati, Venecuela
Taxomedac Njemačka
Vitax Brazil, Peru, Turska
Stabilizacija rješenja   injekcija   Stabilizacija rješenja : Paclitaxel     
Kontejner sredstvo za rastapanje koncentracija temperatura Konzerviranje Trajanje stabilnosti Bibliografija
čaša natrijumkorid 0,9% 0.3 mg/ml 2-8°C Zaštićeno od svjetlosti
13 dan
2172
Razina dokaza A+

čaša natrijumkorid 0,9% 0.3 mg/ml 25°C Zaštićeno od svjetlosti
3 dan
2172
Razina dokaza A+

čaša natrijumkorid 0,9% 1,2 mg/ml 30°C Zaštićeno od svjetlosti
4 dan
173
Razina dokaza A

čaša natrijumkorid 0,9% 1.2 mg/ml 2-8°C Zaštićeno od svjetlosti
8 dan
2172
Razina dokaza A+

čaša natrijumkorid 0,9% 1.2 mg/ml 25°C Zaštićeno od svjetlosti
5 dan
2172
Razina dokaza A+

čaša glukoza 5% 0,4 & 1,2 mg/ml 20°C-25°C svjetlost
5 dan
1865
Razina dokaza B

čaša glukoza 5% 0.3 mg/ml 2-8°C Zaštićeno od svjetlosti
20 dan
2172
Razina dokaza A+

čaša glukoza 5% 0.3 & 1.2 mg/ml 25°C Zaštićeno od svjetlosti
7 dan
2172
Razina dokaza A+

čaša glukoza 5% 1,2 mg/ml 30°C Zaštićeno od svjetlosti
4 dan
173
Razina dokaza A

čaša glukoza 5% 1.2 mg/ml 2-8°C Zaštićeno od svjetlosti
8 dan
2172
Razina dokaza A+

polietilen natrijumkorid 0,9% 0.3 mg/ml 2-8°C Zaštićeno od svjetlosti
13 dan
2172
Razina dokaza A+

polietilen natrijumkorid 0,9% 0.3 & 1.2 mg/ml 25°C Zaštićeno od svjetlosti
3 dan
2172
Razina dokaza A+

polietilen natrijumkorid 0,9% 1.2 mg/ml 2-8°C Zaštićeno od svjetlosti
9 dan
2172
Razina dokaza A+

polietilen glukoza 5% 0,4 & 1,2 mg/ml 20°C-25°C Sa i bez svjetlosti
5 dan
1865
Razina dokaza B

polietilen glukoza 5% 0,4 & 1,2 mg/ml 25°C Sa i bez svjetlosti
5 dan
1520
Podaci proizvođača o stabilnosti

polietilen glukoza 5% 0,4 & 1,2 mg/ml 4°C nespecifičan
5 dan
1520
Podaci proizvođača o stabilnosti

polietilen glukoza 5% 0,4 & 1,2 mg/ml 4°C Zaštićeno od svjetlosti
5 dan
1865
Razina dokaza B

polietilen glukoza 5% 0.3 mg/ml 2-8°C Zaštićeno od svjetlosti
13 dan
2172
Razina dokaza A+

polietilen glukoza 5% 0.3 & 1.2 mg/ml 25°C Zaštićeno od svjetlosti
3 dan
2172
Razina dokaza A+

polietilen glukoza 5% 1.2 mg/ml 2-8°C Zaštićeno od svjetlosti
10 dan
2172
Razina dokaza A+

poliolefin natrijumkorid 0,9% 0,1 & 1 mg/ml 22°C nespecifičan
3 dan
157
Razina dokaza A+

poliolefin natrijumkorid 0,9% 0,1 & 1 mg/ml 32°C nespecifičan
3 dan
157
Razina dokaza A+

poliolefin natrijumkorid 0,9% 0,1 & 1 mg/ml 4°C Zaštićeno od svjetlosti
3 dan
157
Razina dokaza A+

poliolefin natrijumkorid 0,9% 0,3 mg/ml 5°C Zaštićeno od svjetlosti
28 dan
2174
Razina dokaza A+

poliolefin natrijumkorid 0,9% 0,3 & 0,75 mg/ml 25°C Zaštićeno od svjetlosti
6 dan
2174
Razina dokaza A+

poliolefin natrijumkorid 0,9% 0,3 & 1,2 mg/ml 20°C-23°C svjetlost
48 sat
669
Razina dokaza A

poliolefin natrijumkorid 0,9% 0,3 & 1,2 mg/ml 25°C Zaštićeno od svjetlosti
72 sat
1522
Podaci proizvođača o stabilnosti

poliolefin natrijumkorid 0,9% 0,3 &1,2 mg/ml 4°C Zaštićeno od svjetlosti
72 sat
2014
Razina dokaza C

poliolefin natrijumkorid 0,9% 0,3 >>1,2 mg/ml 30°C Zaštićeno od svjetlosti
4 dan
173
Razina dokaza A

poliolefin natrijumkorid 0,9% 0,6 mg/ml 20°C-23°C nespecifičan
25 sat
412
Razina dokaza A

poliolefin natrijumkorid 0,9% 0,75 mg/ml 5°C Zaštićeno od svjetlosti
16 dan
2174
Razina dokaza A+

poliolefin natrijumkorid 0,9% 0.3 > 1.2 mg/ml 25°C svjetlost
72 sat
1956
Podaci proizvođača o stabilnosti

poliolefin natrijumkorid 0,9% 0.3 > 1.2 mg/ml 5°C Zaštićeno od svjetlosti
28 dan
1956
Podaci proizvođača o stabilnosti

poliolefin natrijumkorid 0,9% 1,2 mg/ml 20°C-23°C nespecifičan
25 sat
412
Razina dokaza A

poliolefin natrijumkorid 0,9% 1,2 mg/ml 25°C Zaštićeno od svjetlosti
4 dan
2174
Razina dokaza A+

poliolefin natrijumkorid 0,9% 1,2 mg/ml 5°C Zaštićeno od svjetlosti
12 dan
2174
Razina dokaza A+

poliolefin glukoza 5% 0,1 & 1 mg/ml 22°C nespecifičan
3 dan
157
Razina dokaza A+

poliolefin glukoza 5% 0,1 & 1 mg/ml 32°C nespecifičan
3 dan
157
Razina dokaza A+

poliolefin glukoza 5% 0,1 & 1 mg/ml 4°C Zaštićeno od svjetlosti
3 dan
157
Razina dokaza A+

poliolefin glukoza 5% 0,3 mg/ml 25°C Zaštićeno od svjetlosti
8 dan
2174
Razina dokaza A+

poliolefin glukoza 5% 0,3 mg/ml 5°C Zaštićeno od svjetlosti
28 dan
2174
Razina dokaza A+

poliolefin glukoza 5% 0,3 & 1,2 mg/ml 20°C-23°C svjetlost
48 sat
669
Razina dokaza A

poliolefin glukoza 5% 0,3 & 1,2 mg/ml 25°C Zaštićeno od svjetlosti
72 sat
1522
Podaci proizvođača o stabilnosti

poliolefin glukoza 5% 0,3 &1,2 mg/ml 4°C Zaštićeno od svjetlosti
72 sat
2014
Razina dokaza C

poliolefin glukoza 5% 0,3 >>1,2 mg/ml 30°C Zaštićeno od svjetlosti
4 dan
173
Razina dokaza A

poliolefin glukoza 5% 0,6 mg/ml 20°C-23°C nespecifičan
25 sat
412
Razina dokaza A

poliolefin glukoza 5% 0,75 mg/ml 25°C Zaštićeno od svjetlosti
4 dan
2174
Razina dokaza A+

poliolefin glukoza 5% 0,75 mg/ml 5°C Zaštićeno od svjetlosti
16 dan
2174
Razina dokaza A+

poliolefin glukoza 5% 0.3 > 1.2 mg/ml 25°C svjetlost
72 sat
1956
Podaci proizvođača o stabilnosti

poliolefin glukoza 5% 0.3 > 1.2 mg/ml 5°C Zaštićeno od svjetlosti
14 dan
1956
Podaci proizvođača o stabilnosti

poliolefin glukoza 5% 1,2 mg/ml 20°C-23°C nespecifičan
12 sat
412
Razina dokaza A

poliolefin glukoza 5% 1,2 mg/ml 25°C Zaštićeno od svjetlosti
4 dan
2174
Razina dokaza A+

poliolefin glukoza 5% 1,2 mg/ml 5°C Zaštićeno od svjetlosti
12 dan
2174
Razina dokaza A+


  Mentions Légales