Posledná aktualizácia :
27/01/2026
Protinádorová liečba   Paclitaxel  
Injekcia
Stabilita roztokov Stabilita v zmesiach Faktory ovplyvňujúce stabilitu Kompatibility spôsob podania Odkazy na literatúru PDF
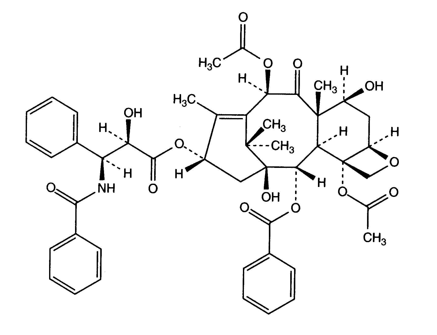
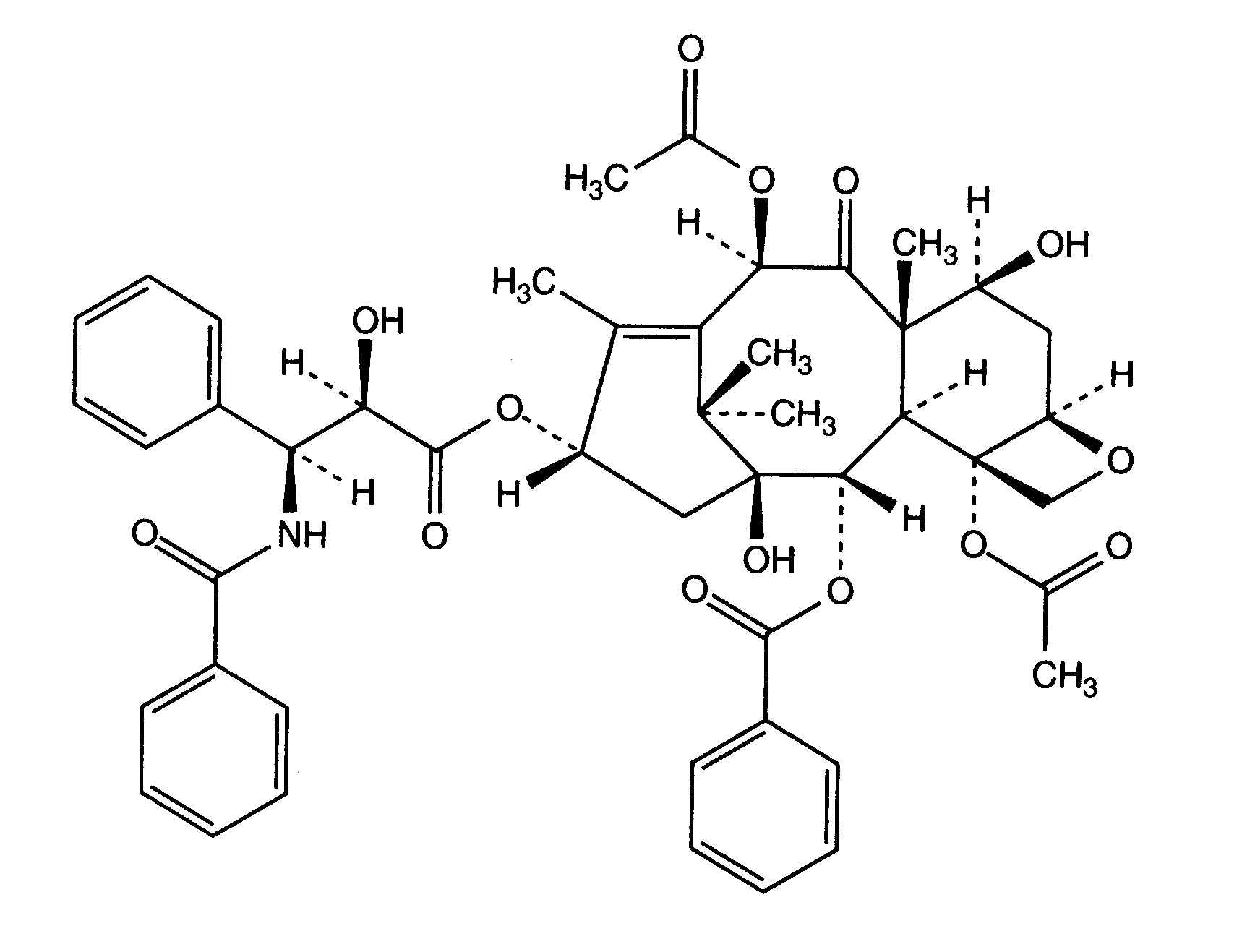
   Chemický vzorec  

Obchodný názov   Obchodný názov     

Obchodné názvy sú orientačné, a zloženie pomocných látok sa môže líšiť v závislosti od krajiny a výrobcu.

Aclipak Malajzia
Acoexcel Mexiko
Acupaxil Maroko
Anzatax Egypt, Irán, Malajzia, Maroko, nový Zéland, peru, Saudská Arábia, Spojené arabské emiráty, Tunisko, Turecko
Aritaxel Nemecko
Cantaxel India
Clitaxel Argentína, Venezuela
Dalys Argentína
Ebetaxel Irán, Maroko, Rakúsko, Saudská Arábia, Tunisko, Turecko
Genexol Egypt, India, Irán
Onxol Spojené štáty Americké
Paclinova Argentína
Paclitaxin Brazília, Luxembursko, Malajzia, Slovinsko
Parexel Brazília, Ekvádor, Kolumbia, Venezuela
Paxene Dánsko, Grécko, Holandsko, Írsko, Poľsko, Španielsko
Poltaxel Poľsko
Ribotax Nemecko
Taxol Brazília, Dánsko, Egypt, Grécko, Holandsko, Irán, Japonsko, Kolumbia, Malajzia, Maroko, nový Zéland, peru, Poľsko, Portugalsko, Rakúsko, Slovinsko, Spojené arabské emiráty, Švajčiarsko, Švédsko, Taliansko, Turecko, Venezuela
Taxomedac Nemecko
Vitax Brazília, peru, Turecko
Stabilita roztokov   Injekcia   Stabilita roztokov : Paclitaxel     
obal rozpúšťadlo koncentrácia teplota uchovávanie Trvanie stability odkazy na lieteratúru
Sklo 0,9% chlorid sodný 0.3 mg/ml 2-8°C Chránené pred svetlom
13 dní
2172
Úroveň dôkazov A+

Sklo 0,9% chlorid sodný 0.3 mg/ml 25°C Chránené pred svetlom
3 dní
2172
Úroveň dôkazov A+

Sklo 0,9% chlorid sodný 1,2 mg/ml 30°C Chránené pred svetlom
4 dní
173
Úroveň dôkazov A

Sklo 0,9% chlorid sodný 1.2 mg/ml 2-8°C Chránené pred svetlom
8 dní
2172
Úroveň dôkazov A+

Sklo 0,9% chlorid sodný 1.2 mg/ml 25°C Chránené pred svetlom
5 dní
2172
Úroveň dôkazov A+

Sklo 5% glukóza 0,4 & 1,2 mg/ml 20°C-25°C Za svetla
5 dní
1865
Úroveň dôkazov B

Sklo 5% glukóza 0.3 mg/ml 2-8°C Chránené pred svetlom
20 dní
2172
Úroveň dôkazov A+

Sklo 5% glukóza 0.3 & 1.2 mg/ml 25°C Chránené pred svetlom
7 dní
2172
Úroveň dôkazov A+

Sklo 5% glukóza 1,2 mg/ml 30°C Chránené pred svetlom
4 dní
173
Úroveň dôkazov A

Sklo 5% glukóza 1.2 mg/ml 2-8°C Chránené pred svetlom
8 dní
2172
Úroveň dôkazov A+

polyetylén 0,9% chlorid sodný 0.3 mg/ml 2-8°C Chránené pred svetlom
13 dní
2172
Úroveň dôkazov A+

polyetylén 0,9% chlorid sodný 0.3 & 1.2 mg/ml 25°C Chránené pred svetlom
3 dní
2172
Úroveň dôkazov A+

polyetylén 0,9% chlorid sodný 1.2 mg/ml 2-8°C Chránené pred svetlom
9 dní
2172
Úroveň dôkazov A+

polyetylén 5% glukóza 0,4 & 1,2 mg/ml 20°C-25°C Za svetla alebo chránené pred svetlom
5 dní
1865
Úroveň dôkazov B

polyetylén 5% glukóza 0,4 & 1,2 mg/ml 25°C Za svetla alebo chránené pred svetlom
5 dní
1520
Údaje o stabilite od výrobcu

polyetylén 5% glukóza 0,4 & 1,2 mg/ml 4°C nešpecifikované
5 dní
1520
Údaje o stabilite od výrobcu

polyetylén 5% glukóza 0,4 & 1,2 mg/ml 4°C Chránené pred svetlom
5 dní
1865
Úroveň dôkazov B

polyetylén 5% glukóza 0.3 mg/ml 2-8°C Chránené pred svetlom
13 dní
2172
Úroveň dôkazov A+

polyetylén 5% glukóza 0.3 & 1.2 mg/ml 25°C Chránené pred svetlom
3 dní
2172
Úroveň dôkazov A+

polyetylén 5% glukóza 1.2 mg/ml 2-8°C Chránené pred svetlom
10 dní
2172
Úroveň dôkazov A+

polyolefín 0,9% chlorid sodný 0,1 & 1 mg/ml 22°C nešpecifikované
3 dní
157
Úroveň dôkazov A+

polyolefín 0,9% chlorid sodný 0,1 & 1 mg/ml 32°C nešpecifikované
3 dní
157
Úroveň dôkazov A+

polyolefín 0,9% chlorid sodný 0,1 & 1 mg/ml 4°C Chránené pred svetlom
3 dní
157
Úroveň dôkazov A+

polyolefín 0,9% chlorid sodný 0,3 mg/ml 5°C Chránené pred svetlom
28 dní
2174
Úroveň dôkazov A+

polyolefín 0,9% chlorid sodný 0,3 & 0,75 mg/ml 25°C Chránené pred svetlom
6 dní
2174
Úroveň dôkazov A+

polyolefín 0,9% chlorid sodný 0,3 & 1,2 mg/ml 20°C-23°C Za svetla
48 hodín
669
Úroveň dôkazov A

polyolefín 0,9% chlorid sodný 0,3 & 1,2 mg/ml 25°C Chránené pred svetlom
72 hodín
1522
Údaje o stabilite od výrobcu

polyolefín 0,9% chlorid sodný 0,3 &1,2 mg/ml 4°C Chránené pred svetlom
72 hodín
2014
Úroveň dôkazov C

polyolefín 0,9% chlorid sodný 0,3 >>1,2 mg/ml 30°C Chránené pred svetlom
4 dní
173
Úroveň dôkazov A

polyolefín 0,9% chlorid sodný 0,6 mg/ml 20°C-23°C nešpecifikované
25 hodín
412
Úroveň dôkazov A

polyolefín 0,9% chlorid sodný 0,75 mg/ml 5°C Chránené pred svetlom
16 dní
2174
Úroveň dôkazov A+

polyolefín 0,9% chlorid sodný 0.3 > 1.2 mg/ml 25°C Za svetla
72 hodín
1956
Údaje o stabilite od výrobcu

polyolefín 0,9% chlorid sodný 0.3 > 1.2 mg/ml 5°C Chránené pred svetlom
28 dní
1956
Údaje o stabilite od výrobcu

polyolefín 0,9% chlorid sodný 1,2 mg/ml 20°C-23°C nešpecifikované
25 hodín
412
Úroveň dôkazov A

polyolefín 0,9% chlorid sodný 1,2 mg/ml 25°C Chránené pred svetlom
4 dní
2174
Úroveň dôkazov A+

polyolefín 0,9% chlorid sodný 1,2 mg/ml 5°C Chránené pred svetlom
12 dní
2174
Úroveň dôkazov A+

polyolefín 5% glukóza 0,1 & 1 mg/ml 22°C nešpecifikované
3 dní
157
Úroveň dôkazov A+

polyolefín 5% glukóza 0,1 & 1 mg/ml 32°C nešpecifikované
3 dní
157
Úroveň dôkazov A+

polyolefín 5% glukóza 0,1 & 1 mg/ml 4°C Chránené pred svetlom
3 dní
157
Úroveň dôkazov A+

polyolefín 5% glukóza 0,3 mg/ml 25°C Chránené pred svetlom
8 dní
2174
Úroveň dôkazov A+

polyolefín 5% glukóza 0,3 mg/ml 5°C Chránené pred svetlom
28 dní
2174
Úroveň dôkazov A+

polyolefín 5% glukóza 0,3 & 1,2 mg/ml 20°C-23°C Za svetla
48 hodín
669
Úroveň dôkazov A

polyolefín 5% glukóza 0,3 & 1,2 mg/ml 25°C Chránené pred svetlom
72 hodín
1522
Údaje o stabilite od výrobcu

polyolefín 5% glukóza 0,3 &1,2 mg/ml 4°C Chránené pred svetlom
72 hodín
2014
Úroveň dôkazov C

polyolefín 5% glukóza 0,3 >>1,2 mg/ml 30°C Chránené pred svetlom
4 dní
173
Úroveň dôkazov A

polyolefín 5% glukóza 0,6 mg/ml 20°C-23°C nešpecifikované
25 hodín
412
Úroveň dôkazov A

polyolefín 5% glukóza 0,75 mg/ml 25°C Chránené pred svetlom
4 dní
2174
Úroveň dôkazov A+

polyolefín 5% glukóza 0,75 mg/ml 5°C Chránené pred svetlom
16 dní
2174
Úroveň dôkazov A+

polyolefín 5% glukóza 0.3 > 1.2 mg/ml 25°C Za svetla
72 hodín
1956
Údaje o stabilite od výrobcu

polyolefín 5% glukóza 0.3 > 1.2 mg/ml 5°C Chránené pred svetlom
14 dní
1956
Údaje o stabilite od výrobcu

polyolefín 5% glukóza 1,2 mg/ml 20°C-23°C nešpecifikované
12 hodín
412
Úroveň dôkazov A

polyolefín 5% glukóza 1,2 mg/ml 25°C Chránené pred svetlom
4 dní
2174
Úroveň dôkazov A+

polyolefín 5% glukóza 1,2 mg/ml 5°C Chránené pred svetlom
12 dní
2174
Úroveň dôkazov A+


  Mentions Légales