Senaste uppdateringen :
27/04/2026
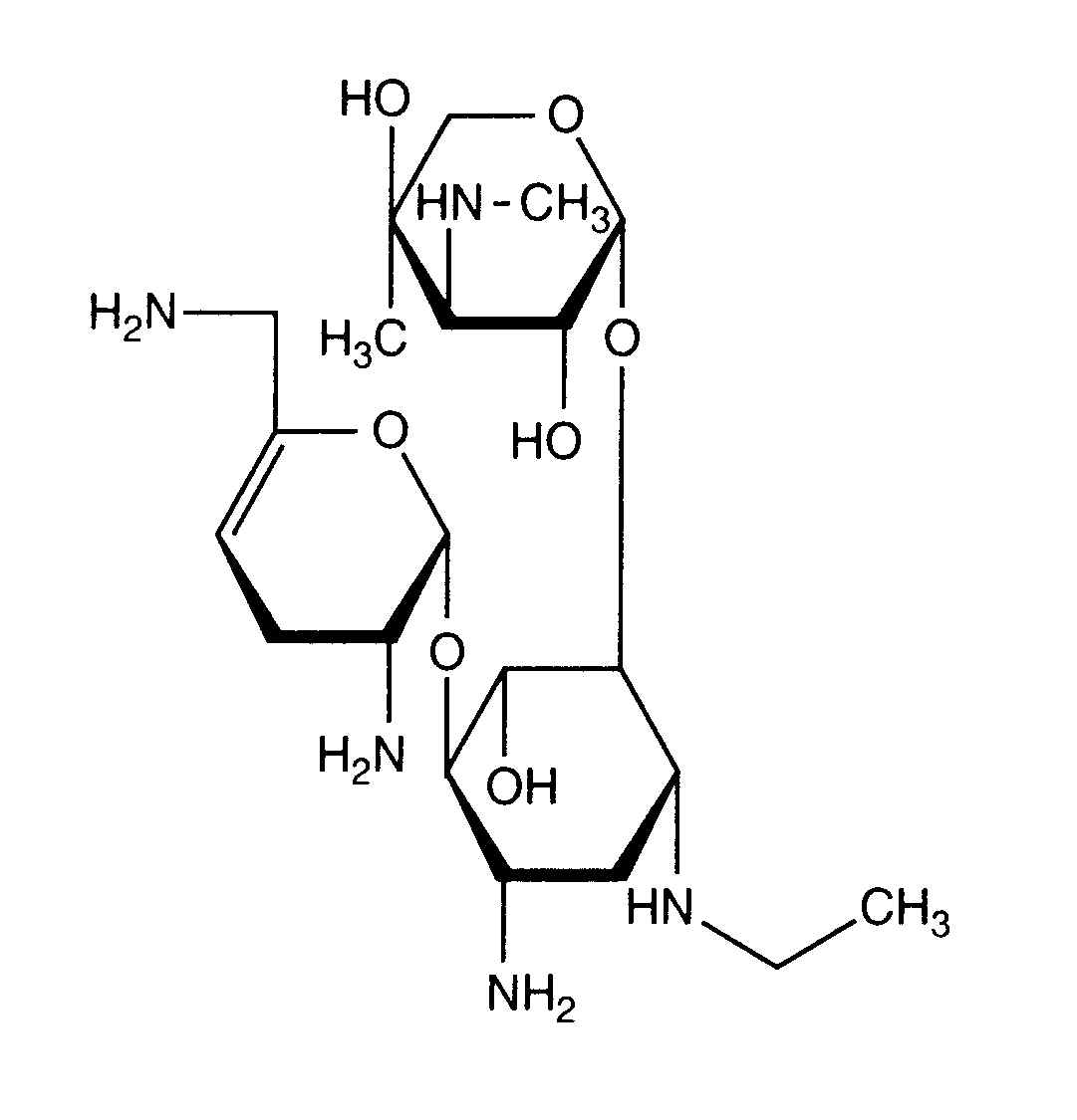
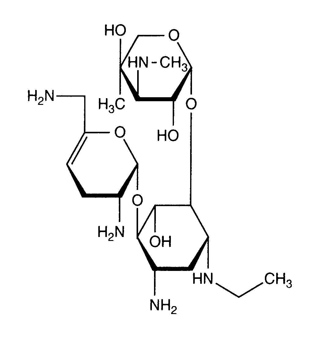
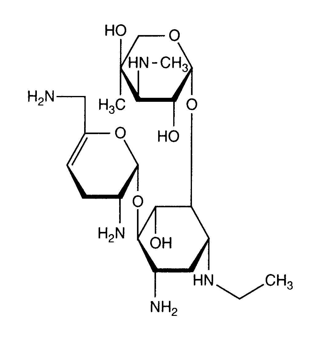
Antibiotikum   Netilmicin sulfate   
Aerosol
injektion
Stabilitet av läkemedel Stabilitet i blandningar Faktorer som påverkar stabiliteten Kompatibilitet Hänvisningar pdf
   Molekylstruktur  

Aerosol

Faktorer som påverkar stabiliteten   Aerosol   Faktorer som påverkar stabiliteten : Netilmicin sulfate         
Ingen uppgift

  Mentions Légales