Ultimo aggiornamento :
27/04/2026
Antibiotico   Netilmicin sulfate   
Aerosol
Iniezione
Stabilità dei preparati farmaceutici Stabilità in miscela Fattori che influenzano la stabilità Compatibilità Bibliografia pdf
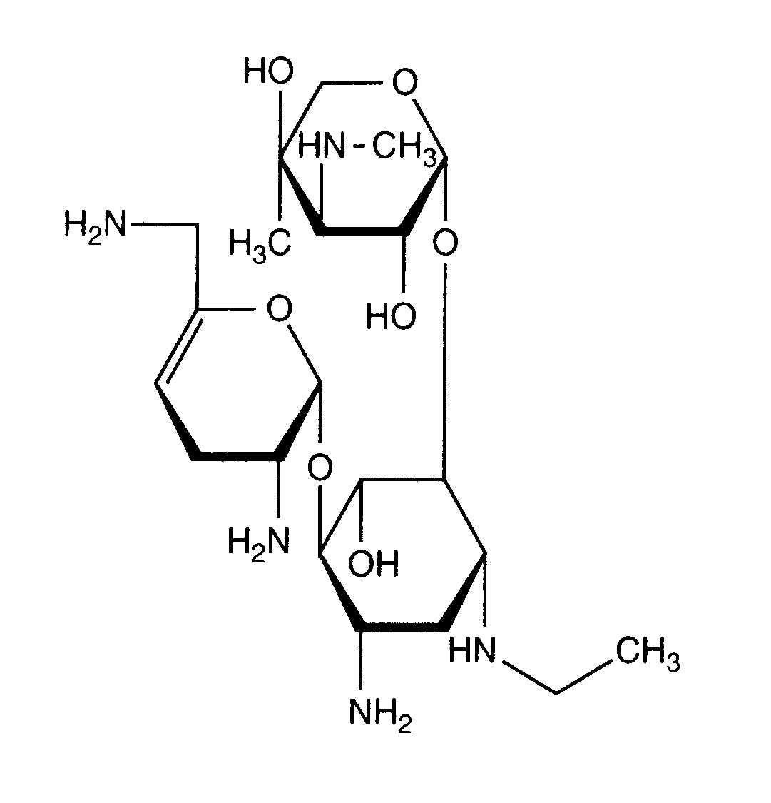
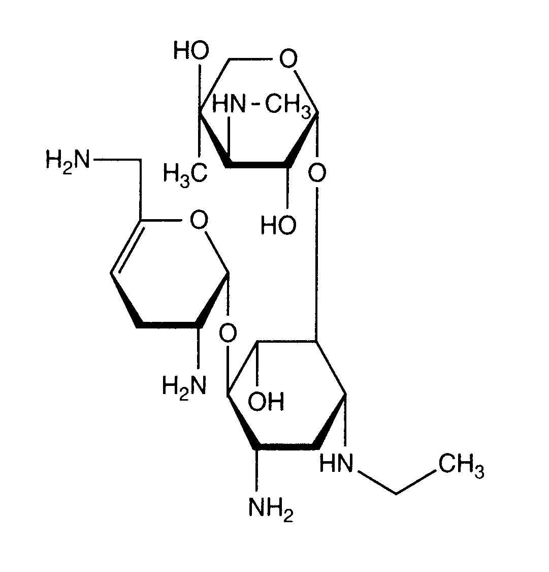
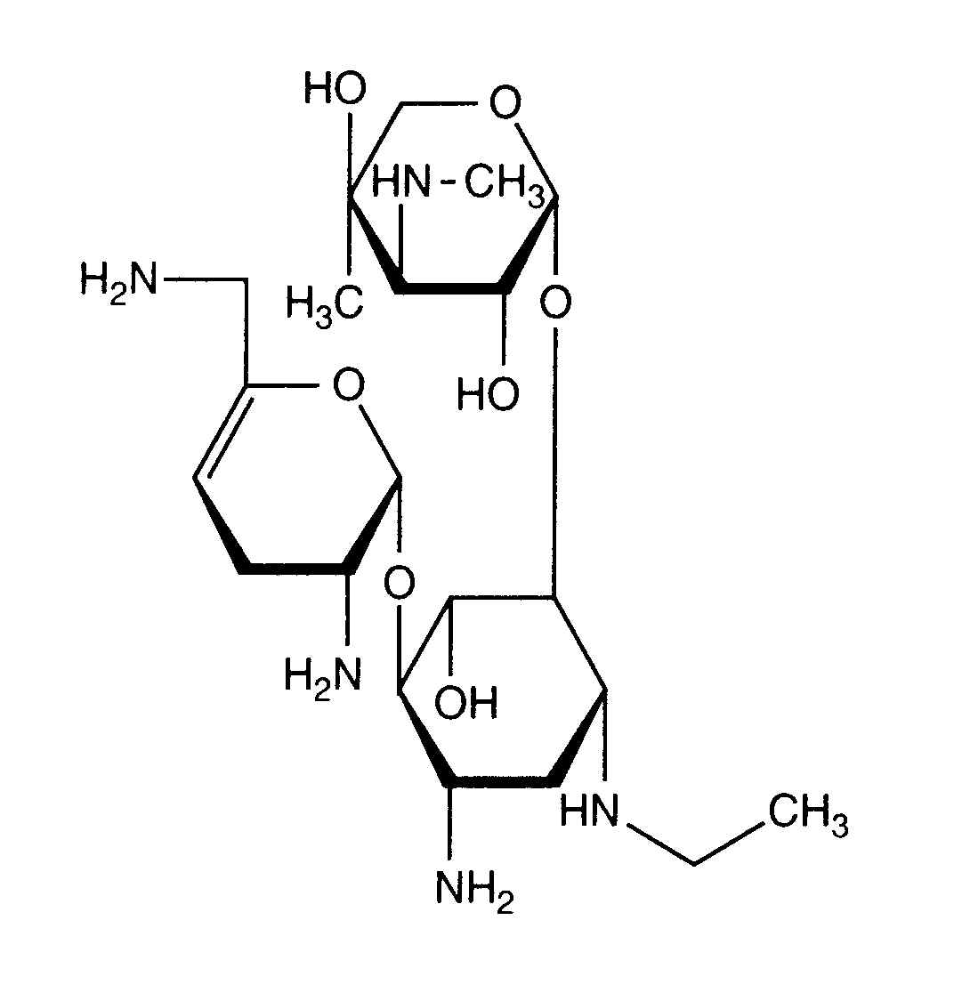
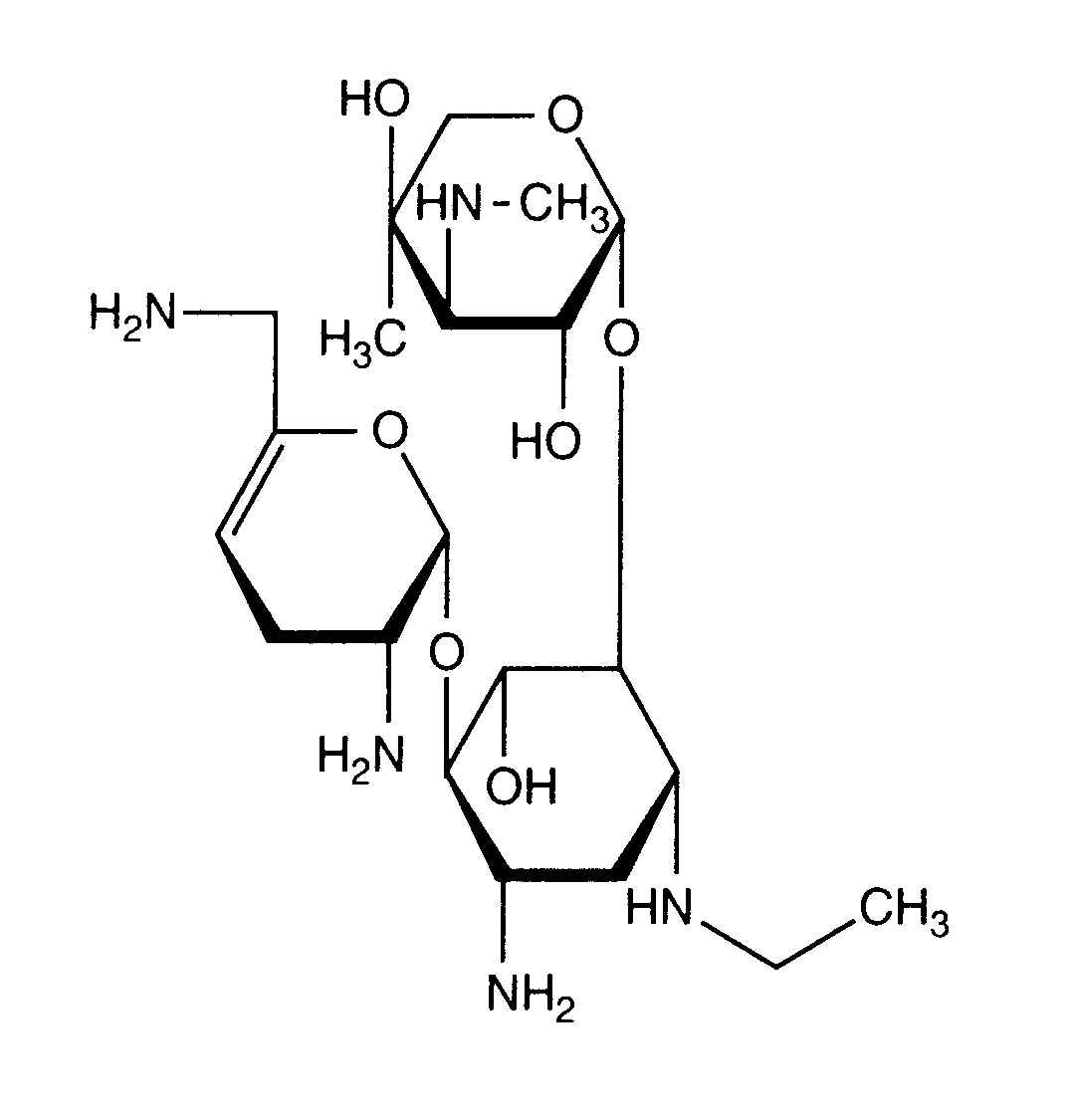
   Struttura chimica  

Aerosol

Fattori che influenzano la stabilità   Aerosol   Fattori che influenzano la stabilità : Netilmicin sulfate         
Assenza di dati

  Mentions Légales