Последнее обновление :
27/04/2026
Антибиотик   Netilmicin sulfate   
Аэрозоль
Инъекция
Стабильность фармацевтических препаратов Стабильность смесей Факторы, которые влияют на стабильность Совместимость Библиография pdf
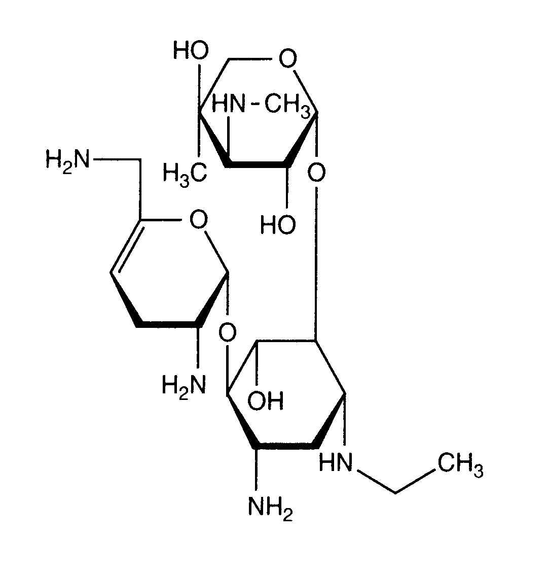
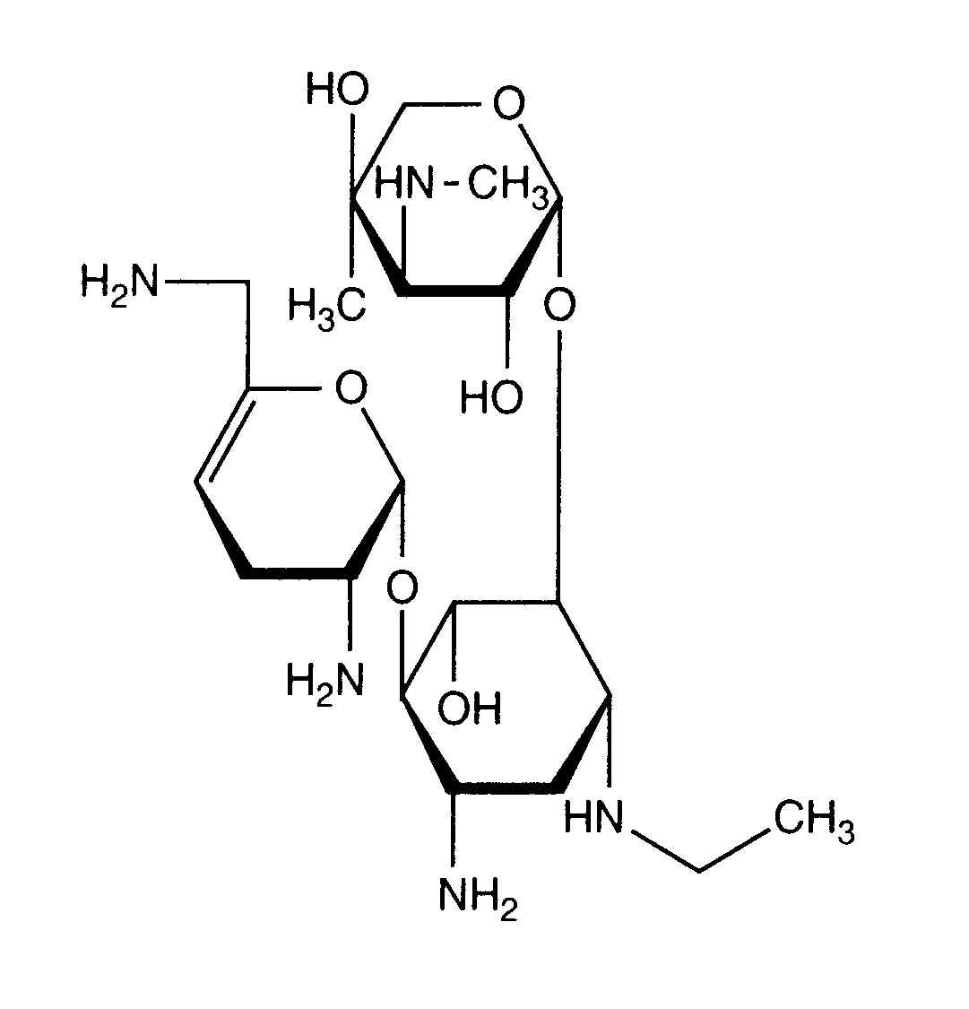
   Химическая структура  

Аэрозоль

Факторы, которые влияют на стабильность   Аэрозоль   Факторы, которые влияют на стабильность : Netilmicin sulfate         
данных нет

  Mentions Légales